Б.М. Болотовский

ОЛИВЕР ХЕВИСАЙД
OLIVER HEAVISIDE

*
Глава восемнадцатая

 

18 мая 1950 г. исполнилось сто лет со дня рождения Хевисайда. Институт инженеров-электриков в честь этой даты организовал торжественное собрание. На нем выступили видные ученые и инженеры, физики и математики. С воспоминаниями о Хевисайде выступил доктор Дж. Сил, по-видимому, последний оставшийся в живых человек, близко знавший Хевисайда. Сэр Джордж Ли, бывший президент Института инженеров-электриков, рассказал о жизненном пути Хевисайда. Доктор Генри Джозефс сообщил о результатах изучения неопубликованных заметок Хевисайда. В числе выступавших на этом памятном собрании были также:

сэр Эдуард Эпплтон, ректор Эдинбургского университета. Он в 1924 г. экспериментально доказал существование слоя Хевисайда - Кеннелли. Отметим, что в 1947 г. Эпплтону за исследование ионосферы, и в первую очередь за открытие так называемого "слоя Эпплтона", была присуждена Нобелевская премия;

доктор М. Понте, президент Французского общества электриков;

доктор Бакли, президент фирмы "Белл Телефон". Его речь была зачитана, так как сам он не смог попасть на заседание, прилетел с опозданием;

профессор Гарольд Джеффрис, математик, Кембриджский университет. Его речь была прочитана президентом Института инженеров-электриков;

сэр Эдмунд Уиттекер, почетный профессор математики Эдинбургского университета, один из крупнейших математиков своего времени;

профессор У. Джексон, член совета Институа инженеров-электриков ;

профессор Балтазар Ван-дер-Поль, крупнейший специалист-радиофизик и математик, член международной консультативной комиссии по радиосвязи;

У. Дж. Редли, член совета Института инженеров-электриков.

Тексты выступлений на этом собрании выпущены отдельным изданием "К столетию Хевисайда". Материалы, помещенные в этом сборнике, дают много важных сведений о жизни и деятельности Хевисайда и о судьбе его открытий. Мы широко использовали сведения, содержащиеся в некоторых докладах, в частности в воспоминаниях доктора Сила о Хевисайде - самых полных из известных воспоминаний. Но в выступлениях на этом памятном собрании содержались не только факты минувших времен. Все выступавшие оценивали труды Хевисайда с точки зрения своего времени.

Интересно посмотреть, как оценивали математики в 1950 г. значение работ Хевисайда для развития математики. Ведь при жизни Хевисайда подавляющее большинство математиков отвергало его методы как нестрогие, необоснованные или же просто как ошибочные.

Из выступлений математиков на памятном собрании видно, что через 25 лет после смерти Хевисайда единодушное осуждение его работ уступило место частичному или полному признанию. Единогласия среди математиков в оценке работ Хевисайда не было. Профессор математики Кембриджского университета Г. Джеффрис посвятил свое выступление оценке операционного исчисления [118]. Вспомним в связи сэтим,чтоХевисайд при жизни страдал от резко отрицательного отношения кембриджских математиков к своим работам. Джеффрис уже не отвергает целиком методы Хевисайда. Он пишет:

"Большинство опубликованных мнений о чистой математике Хевисайда можно разбить на два класса. Одни утверждают, что это был в высшей степени самобытный гений, внесший большой вклад в чистую математику, и что он был всегда прав. Другие говорят, что ничего стоящего он не сделал, его работы всегда были нестрогими, а часто и бессмысленными. Истина находится где-то посредине. Он был блестящим и оригинальным, цо он не имел представления о большей части той работы, которая была сделана до него" [119].
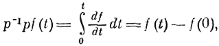
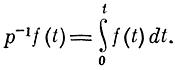
Джеффрис указывает на возможный источник ошибок в методе Хевисайда. Если обозначить, следуя Хевисайду, буквой р операцию дифференцирования по некоторой переменной t, тогда обратная операция будет р-1. За  p-1. мы можем принять следующую операцию:
Хевисайд обращался с операторами p и р-1 как с обычными числами. Но для любого числа а имеем а•a-1=a-1•а = 1. Величины же p и р-1 неперестановочны, т.е. в общем случае p•p-1  <> p-1•p. Действительно,

p•p-1¦ (t) = ¦ (t),

но

и если ¦ (0) <> 0, то результаты отличаются.

"Удивительно, - пишет Джеффрис, - что никто из современных Хевисайду чистых математиков не обратил внимания на это обстоятельство или на другие случаи в его работах, когда изменение порядка этих операций приводит к неправильному ответу. Он на самом деле получил много неправильных результатов, но с удивительной изобретательностью и трудолюбием в вычислениях сумел сам отыскать эти ошибки. Но тот факт, что ему это удавалось, не дает гарантии, что любой сможет это сделать" [117].
Примеров, которые показывали бы ошибки Хевисайда, Джеффрис не приводит.

Из доклада Джеффриса видно, что он разделяет в общем точку зрения о нестрогости и ненадежности математических методов, которые разработал Хевисайд. В свое время представители кембриджской школы начисто отвергали методы Хевисайда. Джеффрис эти методы признает, но с оговорками. Следуя Джеффрису, несколько упрощая его точку зрения, можно сказать, что Хевисайд часто ошибался, но всегда потом находил свои ошибки, потому что был трудолюбив и изобретателен. Но такая точка зрения несправедлива по отношению к Хевисайду и не дает объективной оценки его вклада в развитие математических методов.

Можно еще добавить, что Хевисайд почти всегда рассматривал задачи с нулевыми начальными условиями. В этом случае возражение Джеффриса несправедливо.

Джеффрис также пишет, что строгое обоснование операционного исчисления дает интеграл Бромвича. Мы уже. приводили письма Бромвича к Хевисайду. Из этих писем видно, что Бромвич действительно считал свой метод обоснованием операционного исчисления. Но к методу Хевисайда он относился вполне положительно.

О математических методах Хевисайда говорилось также в выступлении сэра Эдмунда Уиттекера, одного из создателей современных методов математического анализа. Уиттекер высоко оценивал математические работы Хевисайда еще в 1928 г. В статье, опубликованной в бюллетене Калькуттского математического общества [119], он тогда писал о споре Хевисайда с чистыми математиками:

"Оглядываясь на это противоречие по прошествии тридцати лет, мы теперь должны поставить операционное исчисление в один ряд с открытием автоморфных функций Пуанкаре и открытием тензорного исчисления Риччи. Это - три наиболее важных математических продвижения последней четверти XIX в. Приложение, развитие и обоснование операционного исчисления составляют значительную часть математической активности сегодняшнего дня".
Уиттекер не изменил своей точки зрения и в 1950 г. Его выступление на памятном собрании в честь Хевисайда прозвучало как полное признание созданных Хевисайдом методов. Выступление Уиттекера затрагивает не только вопрос о ценности операционного исчисления, но и другие вопросы, не относящиеся непосредственно к чистой математике, но очень важные: об отношении общества к ученым, об отношениях между физиками-теоретиками и чистыми математиками и некоторые другие. Приведем некоторые выдержки из этого выступления [120]:
"Когда Оливер Хевисайд был выбран первым лауреатом Фарадеевской медали Института, президент Института лично поехал в Девоншир, чтобы вручить ее. Этот почет и эта вежливость были большим утешением на общем фоне пренебрежения и нищеты, характерном для жизни Хевисайда. Незадолго до этого в его доме был отключен газ больше чем на год за неуплату по счету. Сэр Джордж Ли уже зачитал письмо, которое описывает жалкое положение Хевисайда в то время.

Если подумать о том. какие большие деньги тратятся на развитие образования и исследовательские работы, то может показаться удивительным, что ученый первого ранга должен был существовать в таких ужасных условиях... Гениальные люди часто не вписываются в общественное устройство. Утверждение, что отцы убивают пророков, а дети ставят памятники на их могилах, так же справедливо сегодня, как и 1900 лет назад.

Как математик, я должен признать и оплакать тот факт, что некоторые из огорчений в жизни Хевисайда были вызваны математиками. Я имею в виду некоторых именитых математиков, которые должны были определить, могут ли работы Хевисайда быть приняты к публикации, и которые отвергли их. Принятое ими решение было основано на том, что его доказательства не удовлетворяли стандартам строгости, которые тогда были в моде среди математиков. Хевисайд, подобно Ньютону или Лапласу или подобно Рамануджану в наши дни, имел дар открывать математические теоремы высокого порядка трудности и сложности при помощи особого рода интуиции, которая обходится без обычного процесса доказательства. Я думаю, именно сознание того, что он владеет таким даром, вызывало у него еще с молодых лет пренебрежение к формальной логике.

В последнее десятилетие XIX в. его конфликт с профессиональными математиками обострился. Для решения дифференциальных уравнений в теории электропроводности и теплопроводности он избрал метод, который теперь называется операционным исчислением. Решения, которые он получил, являются правильными практически во всех случаях, и позднейшие исследователи показали, почему эти решения правильны, обосновав там самым операторное исчисление. Но сам Хевисайд не тревожился по поводу обоснований и обращался к ученым обществам с просьбами о публикации таких работ, в которых, например, он извлекал квадратный корень из операции частного дифференцирования. Когда эти работы отвергались, он остро переживал отказ".

Далее Уиттекер излагает точку зрения Хевисайда на соотношение интуиции и логики в математическом творчестве:
"Существует распространенное мнение, что в математике вы ничего не докажете, если не идете по регулярному пути, и что по мере продвижения вперед вы должны все полностью понимать и строго доказывать. Эта доктрина становится наиболее вредной, когда прилагается к недостаточно исследованным областям. Сначала продвигайтесь вперед по любому возможному пути, а логику оставьте для последующей работы".
Уиттекер замечает по этому поводу, что близкой точки зрения придерживается Эйнштейн. Далее Уиттекер сказал:
"Со времен Хевисайда тенденция чистых математиков заключалась в стремлении ко все большей и большей математической строгости, но в результате разрыв между ними и физиками-теоретиками сделался настолько большим, что эти две группы не имеют между собой ничего большего, и поборники логики больше не пробуют навязывать свои стандарты естествоиспытателям. Можно было бы сказать о том, как влияет такое положение дел на образование физиков и инженеров, но мое время подошло к концу, и я закончу выражением моей благодарности совету Института за честь, которую они мне оказали, пригласив меня принять участие в этом торжестве".
Уиттекер только упомянул о том, что разрыв между чистыми математиками, с одной стороны, и физиками и инженерами, с другой стороны, влияет на образование физиков и инженеров. Эта проблема и сегодня не решена до конца. Ясно, что чистая математика во всей ее строгости не нужна будущим физикам и инженерам. Физику нужна, говоря словами Хевисайда, "физическая математика", а инженеру, если распространить на этот случай идеи Хевисайда, нужна "инженерная математика". Это разные математики, и чем скорее будет уяснено различие между ними, тем больше выиграет дело высшего образования.

Отметим здесь, кстати, что научные интересы Уиттекера не ограничивались только математикой. Он интересовался вопросами зарождения специальной теории относительности и написал большое историческое исследование на эту тему, в котором, по справедливому мнению многих физиков, недооценил роль Эйнштейна в создании специальной, теории относительности. Но, как видно из его выступления на собрании по случаю столетия со дня рождения Хевисайда, значение работ Хевисайда он оценил в полной мере.

Операционному исчислению Хевисайда был посвящен еще один доклад. Его сделал профессор Б. Ван-дер-Поль. Ван-дер-Поль во многих своих расчетах использовал методы операционного исчисления. Ему принадлежит также развитие метода - введение (совместно с Бреммером) двустороннего преобразования Лапласа. Роль Хевисайда в создании и применении операционных методов Ван-дер-Поль оценивал очень высоко. В 1938 г. Ван-дер-Поль прочитал лекцию о Хевисайде в Дельфтском университете. По тексту лекции [121] видно, что на Ван-дер-Поля большое впечатление произвел сам Хевисайд, его личность, взгляды, образ жизни, высказывания по различным поводам. Об этом Ван-дар-Поль говорил в своей лекции больше, чем о содержании научных трудов Хевисайда. На собрании в честь 100-летия Хевисайда Ван-дер-Поль говорил только об операционном исчислении [122].

Он отметил прежде всего, что нигде в своих многочисленных работах Хевисайд не дал единого и последовательного введения в созданную им область, если не говорить о кратком математическом изложении основ. Более или менее полное понимание теоретической и практической ценности применявшегося Хевисайдом математического метода можно получить только обратившись к множеству практических приложений метода, рассеянных в его работах.

Оценки, высказанные относительно этой части работ Хевисайда, меняются в широких пределах - от полнейшего признания до полного отрицания. Например, профессор Е. Уиттекер полностью признает и высоко оценивает математические методы Хевисайда (высказывания Уиттекера приведены выше). Совершенно противоположного мнения, граничащего с презрением, придерживается Г. Дётч. В своей книге "Теория и применения преобразования Лапласа" он пишет:

"Формула, соответствующая разложению в виде суммы дробей... известна в символическом методе под именем "теоремы разложения Хевисайда". Обычно эта формула окружается таинственным туманом. Хевисайд, английский инженер-электрик, был самоучкой... Сама эта формула, конечно, уже давно была известна в чистой математике" [123].
В другом месте книги:
"За работами Хевисайда последовало невероятно большое количество работ самых различных авторов. Все они, однако, с математической точки зрения полностью необоснованны".
Ван-дер-Поль приводит высказывания Е.Т. Белла из его книги "Развитие математики". Это высказывание подводит итог спору между Хевисайдом и чистыми математиками:
"Следуя трем стадиям развития, трагикомедия Хевисайда выродилась в фарс на протяжении трех актов: метод Хевисайда - это полная ерунда; метод правильный, и его можно обосновать; и, наконец, все знали все об этом методе задолго до того, как Хевисайд его использовал, и этот метод, по существу, был тривиальным общим местом в классическом анализе" [125].
По поводу приведенной выше оценки Дётча, Белл пишет:
"Ловкие и вдобавок высокомерные акробаты были слишком заняты балансированием в третьем акте, чтобы не уронить свое достоинство после первого акта, и потому не заметили, о чем говорит их гимнастика".
Причины тех противоречий, которые имели место между Хевисайдом и чистыми математиками, Ван-дар-Поль видит в следующем:

1. У Хевисайда не было систематического изложения вопроса. Он сам писал:

"Те, кто предпочитает более формальное и логически последовательное изложение, могут искать его, где угодно, и если смогут, то найдут. Или же они могут пойти и сделать это сами".
2. Отсутствие математической строгости в работах Хевисайда. По этому поводу Ван-дер-Поль пишет:
"Что касается отсутствия математической строгости у Хевисайда при использовании операционного исчисления, это затрагивает весьма фундаментальный вопрос, который вряд ли будет полностью решен в ближайшем будущем, - вопрос о том, какова необходимая математическая строгость, которая, как правило, должна соблюдаться в публикациях математических физиков.

С одной стороны, математические работы не могут быть слишком строгими или слишком точными, как бы они ни были строги и точны; с другой стороны, «физическая» математика может оказаться вполне приемлемой, если ей недостает той строгости, которая требуется (с полным основанием) от работы чистого математика. Не следует забывать, что вплоть до Пуанкаре астрономы, рассматривая орбитальное движение, использовали ряды, которые, строго говоря, были определенно расходящимися, и только этот великий французский математик доказал асимптотический характер этих рядов и получил большую часть соответствующих математических обоснований. В астрономии есть еще один знаменитый пример - Дж. У. Хилл, который очень успешно исследовал движение лунного перигелия и который ввел и вычислил детерминант бесконечного порядка. Сходимость этого детерминанта была доказана лишь через несколько лет.

Поэтому инженеру-электрику при вычислении компоненты Фурье для периодического тока нет нужды проверять, удовлетворяет ли этот ток как функция времени условию абсолютной интегрируемости по Лебегу, не нужно ему и проверять, имеет ли эта функция конечное число разрывов, и все это по той простой физической причине, что ни этот, ни какой-либо другой ток не является полностью периодическим в строгом математическом смысле".

Ван-дер-Поль далее говорит о строгом математическом обосновании операционного исчисления. Он особо останавливается на книге Дж. Карсона "Теория электрических цепей и операционное исчисление" [126]. Эта книга вышла в 1926 г., через год после смерти Хевисайда. В ней Карсон предпринял попытку дать операционному исчислению строгое математическое обоснование. Он с ясностью указал, что операционные методы Хевисайда могут быть полностью обоснованы с помощью преобразования Лапласа, которое функции h(t) ставит в соответствие функцию  ¦(p) с помощью интегрального соотношения

Теперь мы называем функцию h(t) оригиналом, а функцию ¦(p) -  изображением. Множитель перед интегралом р в этой записи не является существенным и может быть опущен. Если писать р перед интегралом, получается полное соответствие с формулами Хевисайда.

Нет сомнения в том, что книга Карсона сильно повлияла на дальнейшее развитие операционного исчисления. В частности. Карсон ввел в операционное исчисление теорему свертки, которой не было у Хевисайда.

После того как Карсон обратил внимание исследователей в этой области на преобразование Лапласа как на основу операционного исчисления, Хевисайд был обвинен некоторыми в незнании того, что его результаты по операционному исчислению могли быть выведены из преобразования Лапласа. Однако сам Хевисайд знал преобразование Лапласа и использовал его для вычисления некоторых изображений. Тот факт, что он не пользовался этим методом, точнее говоря, почти не пользовался, объясняется тем, что для него, и не только для него, его метод был значительно проще (см. его переписку с Бромвичем).

Из выступления Ван-дер-Поля видно, что в споре чистых математиков с Хевисайдом он был на стороне Хевисайда.

Интересно отметить, что в выступлениях, посвященных вкладу Хевисайда в математику, не было и речи о созданном им векторном исчислении. Оно уже настолько прочно вошло в обиход, что и спорить об этом не имело смысла. А ведь в свое время и это детище Хевисайда вызывало у многих сомнение пли осуждение.

Ничего также не говорилось о том, что Хевисайд первым стал широко использовать в практических расчетах понятие оператора. Он разработал операторную алгебру - правила действий над операторами. Операторные методы, разработанные Хевисайдом, имеют не меньшее значение, чем созданное им операционное исчисление.

Собрание в честь столетия Хевисайда показало, что работы Хевисайда в полной мере сохранили свою ценность его физические идеи и математические методы живут и развиваются.

"Время также показало, - сказал доктор Бакли, президент "Белл Телефон Лабораториз", - что многие часы терпеливого изучения его трудов последующими поколениями наших инженеров полностью себя оправдали" [75].
Собрание почтило и человеческие качества Хевисайда. Об этом говорили многие из выступающих.
"Можно было бы отметить еще много достижений в необычайной карьере Хевисайда, но его жизнь, целиком посвященная науке, его исключительная культура, его добрые человеческие чувства и его великая воля, превозмогавшая плохое здоровье, - это черты человека, которого мы будем чтить всегда" [127].
Эти слова взяты из выступления президента Французского общества электриков М. Понте.

К столетию со дня рождения Хевисайда вышло третье издание его "Электромагнитной теории". Это была фотографическая копия с первого издания. Три увесистые тома первого издания уместились в один том несколько большего формата. Книге предпослано введение, написанное Эрнстом Вебером, где рассматривается вклад Хевисайда в науку об электричестве и магнетизме.

Можно было бы подумать, что торжественное собрание по случаю столетия со дня рождения Хевисайда подвело итог его деятельности. Но это оказалось не так. Творчество Хевисайда поистине неисчерпаемо. Прошло еще 24 года после столетия Хевисайда, и сравнительно недавно Хевисайд снова напомнил о себе. Это произошло в 1974 г. Но чтобы рассказать об этом, надо вернуться назад, к 1934 г.
 


От редактора
Глава 1
Глава 2
Глава 3
Глава 4
Глава 5
Глава 6
Глава 7
Глава 8
Глава 9
Глава 10
Глава 11
Глава 12
Глава 13
Глава 14
Глава 15
Глава 16
Глава 17
Глава 18
Глава 19
Послесловие
Даты жизни и научной деятельности
Основные научные труды
Примечания

Публикуется с разрешения автора по тексту издания
Б.М. Болотовский, "Оливер Хевисайд", М. Изд. "Наука", 1985 г.


VIVOS VOCO!  -  ЗОВУ ЖИВЫХ!