ВЕСТНИК РОССИЙСКОЙ АКАДЕМИИ НАУК

 том 71, № 3, с. 210-232, 2001 г.

С КАФЕДРЫ ПРЕЗИДИУМА РАН

Прогнозами интересуются все - и специалисты, и обыватели. И те, и другие хотят знать, насколько надежны такие сложные технические сооружения, как атомные электростанции или воздушные и океанские лайнеры, получить вовремя информацию о надвигающемся цунами либо предстоящем землетрясении. В последние годы благодаря достижениям нелинейной динамики, теории управления рисками и теории самоорганизованной критичности выявлены принципиальные ограничения прогнозов. Эти ограничения обсуждались на заседании Президиума РАН в конце 2000 г. Материалы заседания легли в основу публикуемой ниже статьи, а также и дискуссии.


НЕЛИНЕЙНАЯ ДИНАМИКА
И ПРОБЛЕМЫ ПРОГНОЗА

Г.Г. Малинецкий, С.П. Курдюмов

Авторы работают в Институте прикладной математики им. М.В. Келдыша РАН.
Малинецкий Георгий Геннадьевич - профессор, заместитель директора института.
Курдюмов Сергей Павлович - член-корреспондент РАН, заведующий отделом.


 

Проблемами прогноза давно и очень успешно занимаются в России - и в Академии наук, и в высшей школе. Мы расскажем, что нового внесла нелинейная динамика в анализ такого информационного процесса, как прогноз. В частности, рассмотрим установленные в последние десятилетия фундаментальные ограничения на предсказуемость сложных систем, обсудим концепцию управления риском, гипотезу о "человеческих алгоритмах" прогноза. Затем приведем несколько примеров, показывающих, как эти идеи применяются при прогнозе поведения сложных социальных систем, а также раскроем новые возможности в этой сфере.

ПРЕДСКАЗУЕМОСТЬ И АНАЛИЗ СЛОЖНЫХ СИСТЕМ

Основные идеи, связанные с прогнозом, можно проиллюстрировать на примере маятника (рис. 1). Наблюдения за этим маятником показывают, что с вероятностью 95% его колебания будут непериодическими, с вероятностью 5% мы увидим периодическое движение. Результат зависит от импульса, который мы придадим маятнику вначале. Запустим его и посмотрим, что получится.

Рис. 1. Простейший непериодический маятник, демонстрирующий динамический хаос. Чтобы скомпенсировать трение, маятник снабжен магнитиками, а в основание игрушки помещены катушка и батарейка, создающие электромагнитное поле

 

Правильнее будет сказать, что для данной точности (сколь угодно большой, но конечной) можно всегда указать такой промежуток времени, что для него становится невозможным сделать предсказания. И этот промежуток (и в этом вся соль) не так уж велик.

"Фейнмановские лекции по физике"

Динамический хаос и фундаментальные ограничения в области прогноза. До 60-х годов предполагалось, что есть два класса процессов. Первые описываются динамическими системами, где будущее однозначно определяется прошлым. Они, как думали раньше, полностью предсказуемы. Великий Лаплас, имея в виду такие системы, говорил (если перевести его слова на современный язык), что, располагая достаточно мощными компьютерами, мы сможем заглянуть как угодно далеко в будущее и как угодно далеко в прошлое. Ко второму классу относятся процессы, где будущее не зависит от прошлого. Мы бросаем игральную кость и выпадает случайная величина, никак не связанная с тем, что выпадало раньше.

В 70-е годы было понято, что существует третий, очень важный класс процессов, которые формально описываются динамическими системами, как маятник на рис. 1, но их поведение может быть предсказано только на небольшой промежуток времени. А дальше исследователи будут вынуждены иметь дело со статистикой. Для нашего маятника можно создать простую линейную модель, которая позволит нам предсказать, в каком положении, например, окажутся маленькие шарики через пять колебаний большого шарика внизу (естественный временной промежуток здесь - период колебаний большого шарика). Используя современные информационные технологии, можно предсказать, в каком положении окажутся они через двадцать колебаний нижнего шарика. Однако никакими силами нельзя предсказать их положения через шестьдесят промежутков времени.

В 1963 г. Р. Брэдбери опубликовал фантастический рассказ, в котором фактически сформулировал идею динамического хаоса. В этом рассказе один из организаторов предвыборной кампании после победы своего кандидата отправляется в путешествие во времени. Фирма, организующая такую поездку, предлагает охоту на динозавров, которым в ближайшее время суждено умереть. Чтобы не нарушить сложную ткань причинно-следственных связей и не изменить будущее, следует двигаться по специальным тропам. Однако герой не смог выполнить этого условия и нечаянно раздавил золотистую бабочку. Возвратившись назад, он видит, что изменились состав атмосферы, правила правописания и итог предвыборной кампании. Едва заметное движение повалило маленькие костяшки домино, те повалили костяшки побольше, и, наконец, падение гигантских костяшек привело к катастрофе. Отклонения от исходной траектории, вызванные гибелью бабочки, стремительно нарастали (рис. 2). Малые причины имели большие последствия. Математики называют это свойство чувствительностью к начальным данным.
 

Рис. 2. Расходимость фазовых траекторий в системах с динамическим хаосом. 

Любая динамическая система определяет в фазовом пространстве траекторию, например X(t). 

Динамический хаос обусловлен тем, что соседние траектории удаляются от нее. Из-за этого малые причины могут иметь большие следствия

В том же 1963 г. мысль о принципиальной ограниченности нашей способности предсказывать даже в мире, который идеально описывается классической механикой, была высказана лауреатом Нобелевской премии Р. Фейнманом. Для существования горизонта прогноза не нужно, чтобы "Бог играл в кости", добавляя в уравнения, описывающие нашу реальность, какие-то случайные члены. Не надо опускаться на уровень микромира, на котором квантовая механика дает вероятностное описание Вселенной. Объекты, поведение которых мы не может предсказывать на достаточно большие времена, могут быть очень простыми, например, такими, как наш маятник.

То, что чувствительность к начальным данным ведет к хаосу, понял - и тоже в 1963 г. - американский метеоролог Э. Лоренц. Он задался вопросом: почему стремительное совершенствование компьютеров, математических моделей и вычислительных алгоритмов не привело к созданию методики получения достоверных среднесрочных (на две-три недели вперед) прогнозов погоды? Лоренц предложил простейшую модель конвекции воздуха (она играет важную роль в динамике атмосферы). Эта модель описывается внешне очень простыми уравнениями [1]:

где переменная х характеризует поле скоростей, у и r - поле температур жидкости. Здесь r = R/Rc, где R - число Рэлея, a Rc - его критическое значение; s - число Прандтля; b - постоянная, связанная с геометрией задачи. Компьютерный анализ системы Лоренца привел к принципиальному результату: динамический хаос, то есть непериодическое движение в детерминированных системах, где будущее однозначно определяется прошлым, имеет конечный горизонт прогноза.

С точки зрения математики, любая динамическая система, что бы она ни моделировала, описывает движение точки в фазовом пространстве. Важнейшая характеристика этого пространства - его размерность, или, попросту говоря, число величин, которые необходимо задать для определения состояния системы. С математической и компьютерной точек зрения, не так уж и важно, что это за величины - число рысей и зайцев на определенной территории, переменные, описывающие солнечную активность или кардиограмму, или процент избирателей, поддерживающих президента.

Если считать, что точка, двигаясь в фазовом пространстве, оставляет за собой след, то динамическому хаосу будет соответствовать клубок траекторий, например, такой, как показан на рис. 3. Здесь размерность фазового пространства всего три (это пространство х, у, z). Для установившихся колебаний, соответствующих динамическому хаосу, Д. Рюэль и Ф. Такенс в 1971 г. предложили название - странный аттрактор. Пророчество А. Пуанкаре о том, что в будущем можно будет предсказывать новые физические явления, исходя из общей математической структуры описывающих эти явления уравнений, компьютерные эксперименты превратили в реальность.

Система Лоренца имеет конечный горизонт прогноза. Дело в том, что если мы вновь возьмем две близкие траектории, показанные на рис. 3, то они расходятся (как на рис. 2). Скорость расходимости определяется так называемым ляпуновским показателем, и от этой величины зависит интервал времени, на который может быть дан прогноз. Можно сказать, что для каждой системы есть свой горизонт прогноза [2, 3].
 

Рис. 3. Аттрактор Лоренца. 

Такая картина, полученная на компьютере (расчет проводился при r = 28, s = 10, b= 8/3), убедила Э. Лоренца, что он открыл новое явление - динамический хаос. 

Этот клубок траекторий, называемый сейчас аттрактором Лоренца, описывает непериодическое движение с конечным горизонтом прогноза

Развитие науки показывает, что каждая фундаментальная теория не только открывала новые возможности, но и лишала нас иллюзий. Классическая механика лишила иллюзии, что можно построить вечный двигатель первого рода, термодинамика - второго, квантовая механика - что мы можем одновременно сколь угодно точно измерять координату микрочастицы и ее импульс, теория относительности - что удастся передавать информацию в вакууме со сверхсветовой скоростью. Сегодня нелинейная динамика развеяла иллюзию глобальной предсказуемости: мы не можем предсказать, начиная с какого-то горизонта прогноза, поведение многих достаточно простых систем и, в частности, нашего маятника.

В свое время работа Лоренца была опубликована в метеорологическом журнале, но в течение 10 лет она не была замечена. Метеорологи сегодня полагают, что горизонт прогноза для погоды не превышает трех недель. Другими словами, как бы точно мы ни измеряли параметры атмосферы, предсказать погоду с помощью имеющихся приборов через три недели в данном месте, вообще говоря, невозможно. Горизонт прогноза для состояния океана эксперты оценивают в месяц.

Сейчас многие специалисты по физике Солнца предполагают, что аналогичная ситуация имеет место с Солнцем. Например, известно такое явление, как минимум Маундера, когда в течение почти 70 лет всплесков солнечной активности не было. И возникает вопрос, можем ли мы предсказать следующий аналогичный минимум. Те работы, которые проводятся, показывают, что ляпуновские показатели таковы и горизонт прогноза таков, что этого предсказания на несколько десятилетий вперед сделать невозможно.

Однако нелинейная динамика позволила увидеть не только принципиальные трудности, но и новые замечательные возможности. Обратим внимание на одну из них. Попробуем определить, сколько нужно величин для того, чтобы описать поведение нашего простейшего маятника. Классическая наука утверждает, что величин нужно бесконечно много. В самом деле, маятник, очевидно, подчиняется законам механики, но для того, чтобы такая игрушка вращалась и не останавливалась из-за трения, должно создаваться электромагнитное поле. Формально наш маятник имеет бесконечно много степеней свободы.

Нелинейная динамика, анализируя системы такого рода, позволяет устанавливать, сколько переменных необходимо для их описания, сколько переменных нужно для прогнозирования, она помогает выяснить, каким должен быть их мониторинг. Оказывается, что для такой системы нужно не более десятка переменных. Это открывает совершенно новые возможности. У нас есть формально очень сложная система и нам требуется выделить из нее самое главное. Если раньше, в 60-е годы, был моден системный анализ, рассматривавший некие общие свойства систем, которые возникают у них, как у целого, то сейчас в Институте прикладной математики им. М.В. Келдыша РАН доминирует системный синтез. Такой синтез позволяет из массы переменных извлечь именно то, что нужно для принятия решения.

После того, как было понято, что есть принципиальные ограничения в области прогноза, созданы новые поколения моделей и алгоритмов, прогноз стал индустрией. Сейчас мы наблюдаем скачок в прогнозировании, который можно сравнить с тем, что произошло с наступлением эпохи персональных компьютеров. До персональных компьютеров ЭВМ были огромными и дорогими комплексами, которые были по силам только очень крупным фирмам. А после появления персональных компьютеров вычислительная техника стала доступна очень многим. То же самое происходит сейчас в области прогнозов. Прогнозирование перестало быть наукой, оно становится технологией. Если раньше "РЭНД корпорейшн" и несколько других коллективов обеспечивали прогнозами правительство США и еще несколько ведомств, то в наши дни даже не очень крупные фирмы имеют лаборатории, занимающиеся прогнозированием, или как чаще говорят, - "проектированием будущего".

Динамический хаос позволил в ряде случаев диагностировать серьезные заболевания по данным об электрической активности с помощью довольно простых компьютерных программ, предложить новые алгоритмы сжатия данных и защиты информации. Экономические прогнозы, опирающиеся на представления о хаосе и странных аттракторах, стали бурно развивающейся областью деятельности. Нельзя не вспомнить о "нелинейных журналах" - "Physica D", "Chaos", "Nonlinearity", "Physical Review E", "Известия вузов. Прикладная нелинейная динамика". Оказалось, что, с точки зрения прогноза, гораздо большее связывает объекты различных научных дисциплин, чем разделяет их.
 

Да, человек смертен, но это было бы еще полбеды. Плохо то, что он иногда внезапно смертен, вот в чем фокус!

М.А. Булгаков "Мастер и Маргарита"

Управление рисками и прогноз редких катастрофических событий. В области научных исследований, связанных с прогнозом, в центре внимания сейчас находятся описание и предсказание редких катастрофических событий. В свое время один из создателей современной химии и первый лауреат Нобелевской премии по химии Я. Вант-Гофф говорил: "Я убрал из своих трудов все то, что трудно наблюдать, и то, что происходит достаточно редко". Возможности, которые дают нам сегодня информационные технологии, позволяют обратиться к анализу и прогнозу редких катастрофических событий.

Приведем пример, показывающий, что самые разные катастрофические события могут развиваться по одним законам. Графики поведения характеристик, описывающих две сложно организованные иерархические системы - фондовый рынок и тектонический разлом - незадолго перед катастрофой, демонстрируют быстрый катастрофический рост, на который накладываются ускоряющиеся колебания (рис. 4). Сглаженная кривая отлично описывается формулой

то есть мы имеем одно и то же решение уравнений, которых пока не знаем. Следует обратить внимание на то, что асимптотикой таких процессов перед катастрофой является так называемый режим с обострением (когда одна или несколько величин, характеризующих систему, за конечное время вырастают до бесконечности). Этот класс режимов более 30 лет исследуется в научной школе, сложившейся в Институте прикладной математики им. М.В. Келдыша РАН, под руководством одного из авторов этой статьи [6].

Рис. 4. Характерный вид зависимости, возникающей перед катастрофами в сложных системах. а - зависимость от времени логарифма индекса Доу-Джонса (этот индекс определяется ценой самого эффективного пакета акций 30 ведущих компаний Соединенных Штатов) перед Великой депрессией [4]; б - зависимость от времени логарифма концентрации ионов хлора в родниках перед катастрофическим землетрясением в Кобе (Япония) в 1995 г. [5]. Точки - это точные данные, сплошная кривая - сглаженная зависимость, построенная по ним
В свое время Д. фон Нейман заявил: "Я не верю, что можно найти общие закономерности в поведении сложных систем. Это то же самое, что построить теорию не слонов". Развитие нелинейной динамики опровергло это утверждение. Нелинейная динамика позволила установить универсальные сценарии возникновения хаоса из упорядоченного состояния [3]. То, что происходит сейчас в науке, показывает, что в ряде случаев можно говорить и о неких универсальных сценариях возникновения катастроф.

Лет тридцать назад Фейнмана спросили: "Если бы завтра все живущие ныне физики погибли и от всех них в будущее можно было бы передать только одну фразу, что бы вы сказали?"

"Весь мир состоит из атомов и пустоты - ответил Фейнман. - Остальное они додумают". Если бы такой же вопрос сейчас был задан всем ученым, а не только физикам, вероятно, фраза должна была бы быть иной: "Научитесь управлять рисками". Управление рисками - одна из важнейших технологий нашей цивилизации [7, 8]. Она соответствует магистральному пути прогресса - менять одни угрозы и опасности на другие. Например, опасность голодать и мерзнуть - на риск пожинать плоды заражения воды, земли, воздуха, связанные с работой тепловых или атомных станций.

Не надо думать, что здесь "иного не дано", что здесь можно только плыть по течению. Иное дано. Швеция приняла решение отказаться от атомной энергетики как от слишком опасной технологии. В то же время во Франции, где более 70% электроэнергии производится на атомных электростанциях, правительство рассматривает форсированное развитие этой отрасли как важнейший способ сохранения окружающей среды. Цена вопроса весьма высока, и свобода маневра достаточно велика.

Глубокая связь между идеями нелинейной динамики и управлением рисками стала ясна недавно. Осознать ее помогла парадоксальная статистика аварий. Вспомним "Титаник", "Челленджер". Чернобыль, Тримайл, Бхопал... Каждая из этих крупнейших катастроф XX в. связана с длинной цепью причинно-следственных связей, с "неблагоприятным стечением многих маловероятных случайных обстоятельств", как часто пишут в актах государственных комиссий. И в самом деле, вздумай злоумышленник специально сделать что-то подобное, ему пришлось бы трудно. При знакомстве с бедствиями не оставляет чувство, что нам просто очень не везет.

Что же является математическим образом этого "невезения"?

Выше уже звучало слово "случайность". В начале XIX в. К. Гаусс установил, что сумма независимых, одинаково распределенных случайных величин подчиняется вполне определенному закону. Соответствующая ему кривая, получающаяся после нормировки, показана на рис. 5. Видно, что она очень быстро убывает, большие отклонения, в соответствии с этим законом, очень редки. Настолько редки, что ими можно пренебречь.

Гауссово распределение лежит в основе множества инженерных расчетов и технических норм. Все инженеры знают, что есть "правило трех сигм". Это правило говорит о том, что вероятность отклонения случайной величины от среднего значения более, чем на три "сигмы", составляет менее 0.001 (см. рис. 5). "Сигма" здесь - среднеквадратичное отклонение. Простой пример: по закону Гаусса распределен рост людей, поэтому вероятностью встречи с трехметровым гигантом с легким сердцем можно пренебречь.
 

Рис. 5. Типичный вид нормального (1) и степенного (2) распределений. 

В соответствии с нормальным, гауссовым, распределением большие отклонения настолько редки, что ими можно пренебречь. Однако многие бедствия, аварии, катастрофы порождают статистику со степенным распределением, которое убывает медленнее, чем нормальное распределение, поэтому катастрофическими событиями пренебречь нельзя.

В логарифмическом масштабе (внизу) степенные зависимости приобретают вид прямых линий

Но есть и другой класс законов, которые называют степенными (см. рис. 5). "Хвост" этого распределения убывает гораздо медленнее, поэтому такие законы часто называют "распределениями с тяжелыми хвостами". В этом случае большими отклонениями пренебречь нельзя. Если бы по такому закону был распределен рост, то это был бы уже мир восточных сказок с тридцатиметровыми джиннами, ифритами, дэвами, которы.е вполне могли встретиться в жизни простых смертных. Именно в мире восточных сказок мы обычно и оказываемся, сталкиваясь с бедствиями, катастрофами, авариями. Такова статистика землетрясений, наводнений, ураганов, инцидентов с хранением ядерного оружия, биржевых крахов, ущерба от утечки конфиденциальной информации, многих других невзгод.

Чтобы не быть голословным, приведем американскую статистику торнадо, землетрясений, наводнений, ураганов за прошедший век (рис. 6). Видим, что данные наблюдений с достаточно хорошей точностью ложатся на прямые, которые соответствуют идеальной степенной статистике.

Рис. 6. Распределение торнадо (7), наводнений (2), ураганов (3) и землетрясений (4) по количеству погибших в них в США в XX в. По оси абсцисс отложена фатальность F стихийного бедствия, измеряемая логарифмом числа погибших, по оси ординат - логарифм числа бедствий N, имеющих фатальность не меньше данной. Идеальным степенным законам соответствуют прямые. Видно, что эти законы являются хорошим приближением для реальной статистики бедствий и катастроф
Когда мы определяем, браться ли нам за какой-то технический проект или не браться, то есть несколько подходов. Первый подход был реализован и доведен до совершенства еще во времена Колумба: определяются все возможные исходы N, их вероятности pi, умножается на соответствующие выигрыши или проигрыши xi и суммируется:

И в зависимости от того, какая величина получится, мы беремся за этот проект или не беремся.

Следует отметить, что единственной экспедицией, которая пошла за государственный счет в Новый Свет, была экспедиция Колумба. А после этого в Испании торговые дома начали заниматься страхованием и перестрахованием таких проектов, потому что финансовый риск для отдельного торгового дома был слишком велик. Но зато и выигрыш был очень велик. Исторический анекдот: Ф. Дрейк после своей экспедиции в Новый Свет преподнес английской королеве подарок, который равнялся двум годовым бюджетам Англии. И королева расплатилась со всеми долгами. Итак, в нашем мире действительно есть много очень опасных, но и очень выгодных проектов. И на этой основе, заложенной еще во времена Колумба, до 50-х годов XX в. оценивались очень многие технические инициативы.

Однако еще в XVIII в. был замечен следующий парадокс. Представим такую игру: мы бросаем монетку - выпадает орел или решка. Если выпал орел, вы получаете два золотых дуката, и игра заканчивается. Если орел выпал во второй раз, вы получаете четыре золотых дуката, и игра заканчивается, если в третий раз - восемь. При этом сумма S1, которая входит в "колумбов алгоритм". бесконечна. Спрашивается, сколько можно заплатить за право войти в такую игру?

Бернулли, который в Санкт-Петербурге наблюдал за такой игрой, был поражен тем, что люди готовы платить за это не более 20 дукатов. Когда человек оценивает вероятность и решает. следует ли рисковать, то, по мнению Бернулли. он действует не по "колумбову алгоритму". Он оценивает не реальный выигрыш, а полезность выигрыша:

где U(xi) - функция полезности. Если у вас есть рубль, то 100 рублей для вас - огромный выигрыш. А если у вас есть 1000 рублей, то 100 рублей вы цените гораздо меньше, его "полезность" для вас гораздо меньше. В середине XX в. фон Нейман показал, что в экономическом поведении для массы ситуаций "бернуллиевский алгоритм" хорош.

Однако дальнейшие исследования экономического поведения, в частности работы М. Алле и его школы, показали, что алгоритм принятия решений у людей во многих ситуациях иной, более сложный. Человек имеет дело не с формулой Бернулли, а с формулой, где есть не только функция полезности, но и субъективные вероятности f(pi), отражающие наши представления об опасности [9]:

Психологи утверждают, что если человеку сообщают, что риск меньше 10-6 год-1, то он просто игнорирует эту возможность, то есть для того, чтобы анализировать какие-то проекты, мы должны иметь некую систему оценок.

В 50-е годы предполагалось, что люди, если им регулярно платят зарплату и они имеют достаточную квалификацию, способны обеспечить абсолютную безопасность работы любого объекта. Но в рамках Государственной научно-технической программы "Безопасность" (руководитель член-корреспондент РАН Н.А.Махутов) удалось показать, что разумнее действовать так, как действуют во всем мире, а именно, выделяя проектные, запроектные и гипотетические аварии (рис. 7). Последствия проектных аварий (для них есть некая вероятность) компания должна устранять сама, последствия запроектных (свои вероятности) должны ликвидировать МЧС и соответствующие организации, которые могут это делать. Что касается гипотетических аварий, то их вероятностью, как еще недавно считали, можно пренебречь.

Рис. 7. Типичная схема оценки аварий. В случае "гауссовых бедствий" выделяют проектные, запроектные и гипотетические аварии. Вероятность первых определяется площадью криволинейной трапеции ABEF, запроектных - BCDE, гипотетических - площадью участка под кривой, лежащим справа от линии DC. Для наглядности площади, соответствующие запроектным и гипотетическим авариям, на рисунке значительно увеличены
Исходя из этого положения, в нашей стране проектировали очень многое, начиная с систем вооружений и кончая атомными станциями. Оказалось, что предположение о гауссовой статистике, собственно, и приводит к заключению о том, что вероятность возможной аварии на атомной станции 10-7 год-1, то есть одна авария за 10 млн. лет. Однако, как показали проведенные в последние годы исследования, во всех этих случаях мы имеем дело со степенной статистикой. Поэтому оценки должны быть совершенно другие. В случае "степенных бедствий" надо рассчитывать на худшее. Чтобы представить масштаб редких катастрофических событий, достаточно напомнить несколько эпизодов из истории XX в. При наводнении 1931 г. на реке Янцзы в Китае погибло 1.3 млн. человек, при Тянь-Шанском землетрясении в 1976 г. - около 650 тыс. Наводнение в Бангладеш в 1970 г. унесло более 500 тыс. жизней и оставило без крова 28 млн. человек [8].

В управлении риском основное и наиболее важное связано не только с описанием, со статистикой, с пониманием механизмов, но и с тем, что в ряде случаев можно определить предвестники. Пример такого поведения дает интересное явление, которое называется жесткой турбулентностью. В 70-х годах его обнаружили в физике плазмы, а в последнее время в самых разных системах типа "реакция-диффузия". Пусть есть некая величина, которая меняется в хаотическом режиме, но иногда совершает гигантские скачки (рис. 8).

Рис. 8. Типичная картина при возникновении жесткой турбулентности. На "хаотическом фоне" изредка возникают гигантские пики
И вот для таких модельных задач удается выявить предвестники, которые сигнализируют об опасности. Еще ничего не произошло, катастрофа далеко, а некоторая медленно меняющаяся переменная уже говорит о том, что мы вошли в опасную область (рис. 9). Сейчас такие вещи ищутся для многих реальных систем.

Рис. 9. Изменение медленных переменных Р, М и logE - перед гигантскими пиками. Наиболее важна с точки зрения предупреждения катастрофических событий переменная М
Ряд усилий, связанных с разработкой и приложением теории управления риском, предпринимается в рамках принятой по инициативе МЧС России Федеральной целевой программы по предупреждению и смягчению последствий чрезвычайных ситуаций в природной и техногенной сфере. В этой программе акцент сделан на прогнозе и предупреждении бедствий и катастроф, поскольку прогноз и предупреждение, с экономической точки зрения, обходятся в десятки, а иногда и в сотни раз дешевле, чем ликвидация последствий уже происшедших бед. Однако масштаб этих работ в стране, на наш взгляд, пока не соответствует их значению. Здесь нужен широкий междисциплинарный подход и гораздо более активное участие Академии наук. Многие вещи здесь должны быть пересмотрены и переоценены.
 
Чем фундаментальнее закономерность, тем проще ее можно сформулировать.

Петр Капица

 Парадигма сложности и теория самоорганизованной критичности. Откуда берется степенная статистика? Ответ на этот вопрос дает новая парадигма нелинейной динамики - парадигма сложности и построенная в ее рамках теория самоорганизованной критичности [10, 11].

Степенные зависимости характерны для многих сложных систем - разломов земной коры (знаменитый закон Рихтера-Гутенберга), фондовых рынков, биосферы на временах, на которых происходит эволюция. Они типичны для движения по автобанам, трафика через компьютерные сети, многих других систем. Для всех них общим является возникновение длинных причинно-следственных связей. Одно событие может повлечь другое, третье, лавину изменений, затрагивающих всю систему. Например, мутация, с течением времени меняющая облик биологического вида, влияет на его экологическую нишу. Изменение экологической ниши этого вида, естественно, сказывается на экологических нишах других видов. Им приходится приспосабливаться. Окончание "лавины изменений" - переход к новому состоянию равновесия - может произойти нескоро.

Простейшая физическая модель, демонстрирующая такое поведение, - это куча песка. Представим следующую картину. Мы бросаем песчинку на самый верх кучи песка. Она либо останется на ней, либо скатится вниз, вызывая лавину. В лавине может быть одна или две песчинки, а может быть очень много. Статистика для кучи песка оказывается степенной, как для ряда бедствий и катастроф. Она очень похожа на ту статистику, которую мы имеем, скажем, для землетрясений, то есть опасность находится на грани между детерминированным и вероятностным поведением или, как сейчас говорят, на кромке хаоса.

Исследование сложных систем, демонстрирующих самоорганизованную критичность, показало, что такие системы сами по себе стремятся к критическому состоянию, в котором возможны лавины любых масштабов. Поскольку к системам такого сорта относится биосфера, общество, инфраструктуры различного типа, военно-промышленный комплекс, множество других иерархических систем, результаты теории самоорганизованной критичности очень важны для анализа управляющих воздействий, разработки методов защиты и разрушения.

Исследования, связанные с разработкой парадигмы сложности, и прогнозирование на ее основе широко разворачиваются в мире. В частности, в США создан Институт сложности в Санта-Фе. Его руководителем стал лауреат Нобелевской премии по физике М. Гелл-Манн, одним из сотрудников - нобелевский лауреат по экономике Б. Артур. Институт занимается различными задачами - от прогнозирования бедствий и компьютерной имитации экономических процессов до разработки сценариев дестабилизации политических режимов и искусственной жизни [12]. Работы, связанные с парадигмой сложности, ведутся в России в нашем институте и нескольких других институтах академии. Однако их масштаб далек от необходимого.

Природа, чем она ни будь,
Но черт ее соавтор -
Вот в чем суть.
И. Гёте "Фауст"

Почему нам удается предсказывать? Если предсказывать, даже с помощью современных компьютерных технологий, так непросто, то как же мы ориентируемся в нашем сложном и быстро меняющемся мире? Как нам удается разумно действовать, несмотря на свой весьма скромный горизонт прогноза? Попытки получить ответ на эти вопросы, а с ним и алгоритмы прогноза, предпринимаются в создаваемой сейчас теории русел и джокеров.

Одним из ее авторов по праву может считаться известный финансист Дж. Сорос. В своей "Алхимии финансов" он выдвинул идею "информационной", или "рефлексивной" экономики. В соответствии с ней такие переменные, как "уровень доверия", "ожидаемые прибыли" и многие другие, характеризующие нашу "виртуальную реальность", играют ключевую роль в современной экономике. Именно они позволяют строить, а затем уничтожать величественные финансовые пирамиды. Но именно эти переменные могут меняться скачком, что совершенно не характерно для математических моделей, построенных в естественных науках.

Другими словами, в фазовом пространстве многих объектов, с которыми мы имеем дело в жизни, есть места, называемые областями джокеров, в которых случайность или игровой элемент либо фактор, не имеющий никакого значения в другой ситуации, может оказаться решающим и не только повлиять на судьбу системы, но и скачком перевести ее в другую точку фазового пространства. Правило, по которому совершается этот скачок, и называется джокером. Название пришло из карточной игры. Джокер - карта, которой можно присвоить статус любой карты по желанию играющего. Понятно, что это резко увеличивает число вариантов и степень неопределенности.

Простой пример. Допустим, у нас есть небольшой банк. И дела день ото дня идут все хуже. Да и как может быть иначе в эпоху кризиса? Пора принимать решение. Первое, наиболее естественное (оно принимается с вероятностью p1, при этом система скачком переходит в точку фазового пространства a1 рис. 10) - организовать презентацию в "Хилтоне". Шумиха, журналисты, новые клиенты и возможности. Второе - поступить как честные люди и объявить о банкротстве (вероятность p2 и соответственно точка a2). Наконец, можно подумать о семье и близких друзьях и улизнуть, прихватив всю оставшуюся наличность, чтобы с другого берега океана поучать местных реформаторов (вероятность p3, и точка a3). Видим, что у нас вновь и вновь возникает симбиоз динамики, предопределенности и случайности.
 

Рис. 10. Система с руслами и джокерами. 

Картинка, возникающая в задаче в разорением банка. Небольшая область внутри окружности соответствует области джокера, в которой надо принимать серьезные меры

Можно перевести сказанное на медицинский язык. Вдали от области джокера эффект должна давать терапия, а в самой области - только хирургия. Ситуация в этом случае может измениться быстро и радикально.

Но если нам не везет с прогнозами в области джокера, то где-то должно и везти. Подумаем: что значит "везет с прогнозом"? Это значит, что поведение системы с устраивающей нас точностью определяется лишь несколькими переменными, а обо все остальном в первом приближении можно забыть. Кроме того, у нас должна быть возможность предсказывать на довольно большой срок. Области фазового пространства, где осуществляются данные условия, были названы руслами [13].

Вероятно, способность эффективно выделять русла, учиться не только методом проб и ошибок, совершенствуя свою предсказывающую систему, но и опираясь на здравый смысл, и дала человечеству решающее преимущество в ходе эволюции. Можно взглянуть и более широко: разные теории, подходы, науки оказываются полезными и ностребованными, если они удачно нашли свои русла. Ведь наука - это искусство упрощать, а упрощать особенно удобно, имея дело с руслами. Разумеется, "в среднем", "в общем случае" мы не можем заглянуть за горизонт прогноза, но "в частности", оказавшись в области параметров, соответствующих руслу, и осознав это, можно действовать разумно и осмотрительно.

Но тут возникает вопрос: где начинается и где кончается русло? Какова структура нашего незнания? Как от одного информационного поля и одних представлений, адекватных этому руслу, переходить к другим, когда это русло закончилось? Знакомясь с разными экономическими, психологическими, биологическими теориями, трудно отделаться от ощущения, что, сами того не осознавая, их создатели имеют дело с разными реальностями, с разными руслами. Это сродни дополнительности в квантовой механике, когда ответ на вопрос, является электрон волной или частицей, зависит от конкретного эксперимента.
 

ПРОГНОЗ И ДИНАМИКА СЛОЖНЫХ
СОЦИАЛЬНО-ТЕХНОЛОГИЧЕСКИХ СИСТЕМ

После того как мы осознали существование горизонта прогноза, поняли, с системами какой сложности можно иметь дело, уточнили вопросы, которые можно задать, и данные, необходимые для того, чтобы ответить на эти вопросы, мы получили инструмент для описания самых разных явлений и процессов. Он особенно полезен при прогнозировании поведения социально-технологических систем, для которых пока не известны количественные законы, определяющие их динамику.

Моделирование развития высшей школы. В 1994 г. к нам обратилось Министерство образования России и Всемирный банк реконструкции и развития. Речь шла о выделении кредита на реконструкцию высшей школы в размере 2 млрд. долл. (Были достаточно благополучные, в сравнении с нынешними, времена.) И тогда возник вопрос: если будут реализованы пожелания Всемирного банка, то к чему это приведет в 5-, 10-, 20-летней перспективе на макроуровне (на уровне макроэкономики), на среднем уровне, на микроуровне? Остановимся на макромодели.

Мы проанализировали статистику ООН, исходя из представлений нелинейной динамики. Оказалось, что индустриальное развитие и роль науки и образования могут быть определены (если мы хотим получить грубую качественную картину) в результате компьютерного анализа дискретного отображения для трех переменных [14]. Одна переменная характеризует ресурсы, другая - производство, валовой внутренний продукт и третья - науку плюс образование (рис. 11). В этой системе есть две ключевые величины. Первая - время запаздывания. Если наука и образование начнут завтра работать намного лучше, чем сейчас, то экономика это почувствует с запаздыванием от трех до пяти лет. Вторая - восприимчивость к инновациям. По данным известной нам статистики, если принять восприимчивость японской экономики за 10, то восприимчивость американской экономики будет 8, Западной Европы - 6, Советского Союза - 1.

А теперь обсудим некую модельную ситуацию. Страна, имеющая богатые ресурсы, начинает индустриализацию и вкладывает деньги в науку. Но коэффициент восприимчивости ее экономики - ноль. В стране активно развивается наука, но поскольку экономика не воспринимает никакие научные исследования, то в конце концов мы оказываемся на уровне возобновляемых ресурсов (рис. 11, а). В этой ситуации совершенно иной становится роль науки: она нужна для того, чтобы найти новые источники развития. Например, известно, что соли урана в 30-е годы рассматривались как прекрасные красители. А потом оказалось, что уран годен для чего-то еще.
 

Рис. 11. Макроэкономические траектории экономики, невосприимчивой к нововведениям (а), восприимчивой к инновациям (б), восприимчивой к инновациям при урезании финансирования (в). 

Кривые показывают, как меняются выраженные в условных единицах ресурсы (1), объем производства (2) и научно-технический потенциал (3) в некоторой стране с течением времени; 

а - соответствует "банановой республике", 

б - ситуация, когда общество достигает некоторого уровня развития, после чего происходит смена основных ресурсов развития и дальнейший рост обеспечивается интеллектуальной сферой, 

в - ситуация, когда в результате сокращения вдвое финансирования интеллектуальной сферы к критическому моменту начала спада производства развитие этой сферы не достигло необходимого уровня и не смогло оказать заметного влияния на развитие общества

Предположим теперь, что в результате неких реформ нам удалось поднять восприимчивость экономики. Послереформенная ситуация близка к тому, что происходило в Японии, где имел место форсированный рост (рис. 11, б). И если на этом резком росте сократить вдвое финансирование образования и науки, то страна окажется в той же ситуации, что была вначале (рис. 11, в). Мы попали в ловушку: наука не финансируется, потому что экономика бедна; экономика бедна, потому что нет разработок и эффективных технологий.

Модели Всемирного банка реконструкции и развития, с которыми мы сравнивали наши результаты, дают примерно такую же картину. Эксперты банка считают, что для России выход на устойчивый низкопродуктивный режим был бы нормальным. Но мы мыслим несколько иначе.

На пути к "социологии быстрого реагирования". Сейчас открываются совершенно новые возможности в области управления обществом. Чтобы охарактеризовать их, воспользуемся термином "социальный барометр", или "социология быстрого реагирования". Что это означает?

Допустим, что мы измеряем параметры нашего общества. Спрашивается, сколько переменных на самом деле характеризуют его? Данные социологических опросов и имеющиеся во многих регионах России информационные возможности позволяют проводить подробный мониторинг общества - это десятки и сотни показателей. С помощью компьютерных сетей такой мониторинг можно осуществлять с интервалом в дни или часы. Но что делать с этой огромной и, очевидно, важной информацией? Ведь лицо, принимающее решения, способно удержать в поле зрения только несколько факторов и несколько количественных показателей (психологи утверждают, что не более семи). Как выбрать эти показатели и помочь принимать разумные и взвешенные решения?

То, что помочь можно, показывает такая несложная вещь, как барометр. Пусть мы не умеем (или не знаем как) эффективно решать уравнения, описывающие динамику атмосферы, на основе которых можно было бы предсказывать погоду. Но барометр перед бурей предупреждает, что нас могут поджидать проблемы.

Для социальных систем компьютерные технологии могут служить своеобразным барометром: они "сворачивают" имеющуюся информацию в несколько показателей, которые помогают принять решение. В основу этих подходов легли методы, апробированные при прогнозе землетрясений [8]. Мы не знаем уравнений, решая которые можно прогнозировать катастрофу, однако имеем огромный массив данных, используя которые можем "научить" прогнозировать соответствующие компьютерные системы. Работа над применением этих подходов в социологии ведется нами с И.В. Кузнецовым и его коллегами из Международного института математической геофизики и теории прогноза землетрясений РАН, а также с С.А. Кащенко и исследователями из Ярославского государственного университета.

И здесь хотелось бы предостеречь относительно преувеличенных ожиданий, типичных для общества, связывающего слишком много надежд с компьютерными технологиями. Вначале предполагалось, что автоматизированные системы управления позволят резко повысить эффективность экономики. Но экономика оказалась не готова к этому. Большие надежды возлагались на вычислительный эксперимент, связанный с компьютерным решением различных уравнений. Но выяснилось, что для описания многих важных объектов у нас нет соответствующих уравнений, а если они и есть, то определение коэффициентов и настройка модели сами по себе представляют исключительно сложную задачу.

"Ахиллесовой пятой" алгоритмов прогноза для социально-экономических систем и задач по управлению риском являются данные. Для того чтобы "научить" соответствующие компьютерные системы, нужно иметь длинные ряды достоверных и достаточно точные данных, характеризующих различные стороны изучаемого объекта. Пока этого практически нигде нет. Восполнив этот пробел, можно повысить качество прогноза.

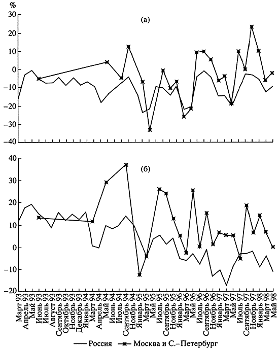
Когда начинаешь работать с социологическими данными, то выясняется много удивительных вещей. Оказалось, что на многие события Москва и Санкт-Петербург среагировали в противовес всей остальной стране (рис. 12). Естественно, такое поведение связано с социально-экономической структурой общества, со шкалой ценностей. Используя обсуждаемые походы, многие выводы, сделанные исследователями из Института социально-политических исследований РАН [15], можно подтвердить и обосновать количественно на другом, более глубоком уровне.

Рис. 12. Разность между позитивными (и нейтральными) и негативными ответами на вопросы ВЦИОМ в Москве и Санкт-Петербурге и в остальной России. а - "Что бы вы могли сказать о своем настроении в последние дни?"; б - "Как бы вы оценили в настоящее время материальное положение вашей семьи?"
Такие методики, как и большинство научных результатов, являются обоюдоострыми. Опираясь на них, с одной стороны, можно еще более успешно, чем теперь, манипулировать поведением электората. С другой стороны, они показывают, каковы основные переменные, параметры порядка в общественном сознании. Именно они определяют и основные будущие проблемы, и возможности выхода России из кризиса.

Инновационное развитие. Сценарии для России. Сейчас многие надежды связываются со словами "инновационная экономика". И мы в Институте прикладной математики вместе с коллегами из других академических институтов занимаемся по поручению Министерства промышленности, науки и технологий РФ исследованием возможностей выхода России на траекторию устойчивого развития и перехода к инновационной экономике.

Проведенный анализ показал, что в десятилетней перспективе сложной социально-экономической системе, каковой является мир России, угрожает коллапс. Системный кризис подвел страну к черте, где закритический износ основных фондов ведет к череде техногенных и социальных катастроф, рост цен на энергоносители - к окончательному уничтожению обрабатывающей промышленности, повышение транспортных тарифов - к необратимому распаду страны. При сохранении нынешних тенденций произойдет окончательная утрата суверенитета, распад страны, уход российского этноса с исторической арены.

Из-за своего географического и геоэкономического положения, в силу высокой энергоемкости производства и жизни в холодной стране, 4/5 территории которой лежит в зоне вечной мерзлоты, Россия не может сколь-нибудь долгое время быть сырьевым придатком стран "золотого миллиарда" [16]. Поэтому жизненно важным стал вопрос о новых ресурсах развития [14]. Одна из возможностей связана с переориентацией экономики на производство высокотехнологичной продукции в нескольких отраслях. Правительством России заявлен курс на переход от "экономики трубы" к инновационному развитию.

Официальный взгляд на развитие инноваций ориентирован на неолиберальную концепцию и следование зарубежным образцам. Это - трактовка инноваций как нововведений, нашедших место на рынке, ставка на развитие венчурного предпринимательства, понимание роли государства как арбитра, обеспечивающего условия и инфраструктуру для внедрения инноваций. Исследования, проведенные сотрудниками Института прикладной математики и других академических институтов, показали, что это тупиковый путь для России.

Инновации в России в настоящее время должны обеспечивать решение стратегических задач по жизнеобеспечению населения, по постепенному переходу страны на траекторию прогрессивного устойчивого развития, а не по "заполнению рынка", "обеспечению макроэкономической стабилизации" и т.д. Большинство жизненно важных для России инноваций имеет нерыночный характер. Это производство качественных и доступных населению продуктов питания и лекарств, строительство жилья и дорог, обеспечение коммуникаций, ресурсосберегающие технологии, нововведения, повышающие безопасность техносферы. Многие из широко обсуждаемых сейчас инноваций [16, 17] нужны не для гармонизации экономики, а для выживания страны. На передний план выходят надежность, долговечность, ремонтопригодность новых образцов техники для России.

Единственным заказчиком таких инноваций может и должно выступить государство. Оно должно вновь взять на себя важнейшую функцию - функцию целеполагания в области экономики и социального развития. Это требует принципиально иного уровня координации по сравнению с нынешним, гораздо более высоких требований к прогнозу и мониторингу социально-экономической системы. Это предполагает воссоздание на основе новых методов социального управления, прогнозирования, современных информационных технологий такой структуры, как Госплан России.

Его первоочередными задачами должны стать:

• повышение достоверности и качества прогноза;

• инвентаризация ресурсов, которыми располагает Россия;

• определение коридора возможностей страны при альтернативных стратегиях развития;

• детализация выбранной политики (не только в стоимостных, но и в натуральных показателях).

Следует отдать себе отчет, что страна находится в чрезвычайной ситуации, в историческом тупике. Чтобы вывести ее оттуда, нужны программы масштаба "Нового курса" Рузвельта [18]. Выработка такого курса должна стать одной из главных задач и для научного сообщества, и для руководства страны.

Возвращаясь к инновациям, заметим, что переменные, которые Минпромнауки считало ключевыми, и механизмы, которые признавались важными, - инновационно-производственные комплексы, их форсированное развитие и выход на рынок и т.д. - на самом деле второстепенные. Когда мы проанализировали те позиции, на которые возлагали надежды, оказалось, что эти надежды не оправданы. Важны не сами инновационно-производственные комплексы, а их симбиоз. Конкретная ситуация - Зеленоградский инновационно-производственный комплекс. Есть завод "Протон", который является донором для массы мелких предприятий. Каждое из них получает деньги у государства. Но если мы подсчитаем итог - сколько такое предприятие получает и сколько оно вкладывает в ВВП, - то оказывается, что дают они примерно в 10 раз больше, чем получают. Поэтому, стимулируя инновации в этом конкретном случае, надо думать не только о мелких фирмах, но прежде всего о заводе "Протон". Как видим, когда с позиций нелинейной динамики и информационных процессов анализируешь, казалось бы, очевидные вещи, то результаты могут быть весьма неожиданными.

Теоретическая история или поиск альтернатив. В свое время А. Тойнби, один из выдающихся историков нашего века, написал очень короткую работу, некую "историческую ересь", как он ее потом называл в своих воспоминаниях, - "Если бы Филипп и Артаксеркс уцелели" [19]. Известно, что Александр Македонский пришел к власти в результате заговора, который, как говорят, устроила его мать. Именно поэтому мать очень быстро погибла. По мнению Тойнби, история сложилась бы радикально иначе, если бы не было Александра Македонского и, соответственно, его оппонента. Не было бы Рима, не наступила бы эпоха громадных империй в Европе, и длительное время сохранялись бы очень хорошие перспективы развития у городов-государств. В то же время восточные деспотии медленно трансформировались бы, сохраняя стабильность.

Те техники, методики, формализм, которые предлагаются в нелинейной динамике и активно развиваются, позволяют для неких простейших модельных ситуаций выявлять альтернативы исторического развития [14,20,21]. Приведем пример, относящийся к ситуации, рассмотренной Тойнби. Компьютерные расчеты плотности населения для Средиземноморья дают два варианта (рис. 13). В первом есть Рим, и история сложилась именно так, как сложилась. И действительно в 96% случаев компьютерные расчеты дают именно этот вариант. Но есть еще 4%, когда история идет совсем иначе: нет Рима, значит, нет римской цивилизации, а форсированным образом развивается Греция. Иначе говоря, компьютерный анализ допускает существование обеих возможностей, которые увидел Тойнби.

Рис. 13. Результаты компьютерного расчета плотности населения в Средиземноморье Слева - вариант, реализовавшийся в истории, справа - альтернативный, когда нет Рима и Римской империи
Разумеется, эти простейшие модели весьма условны. Они учитывают только элементарные взаимосвязи между природными, социальными, демографическими факторами - очень небольшой набор в сравнении с огромным массивом данных, которым оперируют профессиональные историки. Однако даже учет этих немногих взаимосвязей позволяет увидеть исторические альтернативы. Можно надеяться, что более сложные модели такого типа будут полезны в стратегическом планировании и со временем история будет все чаще играть роль "прикладной науки", - роль оселка, на котором оттачиваются модели мировой динамики, значение которых в связи с концепцией устойчивого развития возрастает.

Итак, между учеными, работающими в разных научных дисциплинах, достигнуто общее понимание принципиальных проблем в области прогноза и фундаментальных ограничений, связанных с предсказанием. Для того чтобы разумно строить политику - технологическую, инновационную, экономическую, - исключительно важно в ряде случаев иметь как прогноз, так и коллективы, способные такой прогноз давать.
 

ЛИТЕРАТУРА

1. Lorenz E.N. Deterministic nonperiodic flow // Journ. of the Atmospheric Science. 1963. V. 20. P. 130-141.

2. Пределы предсказуемости. М.: Центрком, 1997.

3. Малинецкий Г.Г. Хаос. Структуры. Вычислительный эксперимент. Введение в нелинейную динамику. М.: Эдиториал УРСС, 2000.

4. Sornette D., Johansen A. Large financial crashes // Physica A. 1997. V. 245. № 3-4.

5. Johansen A., Sornette D. et al. Discrete scaling in eartquake precursory phenomena: Evidence in Kobe earthquake, Japan // J. Phys. France. 1996. V. 6.

6. Режимы с обострением. Эволюция идеи: Законы коэволюции сложных структур. М.: Наука, 1998.

7. Reduction and predictability of natural disaster / Eds. J.B. Rundle. D.L. Turcotte, W. Klein // PROceedings of the workshop "Reduction and predictability of natural disasters" held January 5-9, 1994 in Santa Fe. New Mexico, 1995.

8. Владимиров B.A., Воробьев ЮЛ., Малинецкий Г.Г. и др. Управление риском. Риск, устойчивое развитие, синергетика. М.: Наука, 2000.

9. Ларичев О.И. Теория и методы принятия решения. М.: Логос, 2000.

10. Bak P. How nature works: the science of self-organized criticality. New York: Springer-Verlag Inc., 1996.

11. Малинецкий Г.Г., Подлазов А.В. Парадигма самоорганизованной критичности. Иерархия моделей и

пределы предсказуемости // Известия вузов. Прикладная нелинейная динамика. 1997. Т. 5. №5.

12. Waldrop MM. Complexity: The emerging science at the edge of order and chaos. New York: Touchstone, 1993.

13. Малинецкий Г.Г., Потопов А.Б. Современные проблемы нелинейной динамики. М.: Эдиториал УРСС, 2000.

14. Капица С.П., Курдюмов С.П., Малинецкий Г.Г. Синергетика и прогнозы будущего. М.: Наука, 1997.

15. Россия у критической черты: возрождение или катастрофа: Социальная и социально-политическая ситуация в России в 1996 году: анализ и прогноз / Под ред. Г.В. Осипова, В.К. Левашова, В.В. Локосова. М.: Республика, 1997.

16. Паршев А.П. Почему Россия не Америка. М.: Форум, 2000.

17. Вайцзеккер Э., Левине Э., Левине Л. Фактор четыре. М.: Acadernia, 2000.

18. Рузвельт Ф.Д. Беседы у камина. М.: Государственная дума РФ, 1995.

19. Тойнби А.Дж. Если бы Филипп и Артаксеркс уцелели // Знание - сила. 1994. № 8.

20. Малков С.Ю., Ковалев В.И., Малков А.С. История человечества и стабильность (опыт математического моделирования) // Стратегическая стабильность. 2000. № 3.

21. ЧернавскийД.С., Пирогов Г.Г. и др. Динамика экономической структуры общества // Известия вузов. Прикладная нелинейная динамика. 1996. Т. 4. №3.



 

 ОБСУЖДЕНИЕ В ПРЕЗИДИУМЕ РАН

Г.Г. Малинецкий, представлявший в Президиуме РАН научное сообщение
"Нелинейная динамика и проблемы прогноза",
после выступления ответил на вопросы.


 

Академик Ю.А. Израэль: Вы буквально обрушили на нас гигантскую информацию, к которой, мне кажется, примешано много эмоций. Прогнозы есть разные, но вы претендуете на все: и на природные, и на экономические, и на политические. Я хочу сконцентрировать свой вопрос только на природных процессах.

В самом начале доклада вы упомянули о пределах предсказуемости. С вашей точки зрения, предел предсказуемости - это недостаток информации, недостаток компьютеров, недостаток теории или принципиальный вопрос? Если это принципиальный вопрос, то есть существует предел предсказуемости, то как его можно определить?

Г.Г. Малинецкий: Да, существует предел предсказуемости, именно это я и хотел сказать. Оказывается, природа устроена так, что для многих, даже достаточно простых маломерных систем близкие траектории расходятся. То есть малые причины имеют большие следствия. И тем, насколько быстро эти следствия растут со временем, определяется горизонт прогноза. Когда впервые Эдвард Лоренц осознал это принципиальное ограничение, он привел такой шокирующий пример. Если земная атмосфера устроена так, как мы себе это представляем, то взмах крыльев бабочки - очень малое воздействие в нужном месте и в нужное время - может изменить погоду, скажем, через две-три недели, в громадном регионе. То есть в метеорологии, как в квантовой механике или термодинамике, сформулированное ограничение - принципиальная вещь.

Есть разные способы определения горизонта прогноза. В частности, можно было бы вести мониторинг и фиксировать каждую десятую секунду положение конкретного шарика в маятнике, который я демонстрировал. Далее с помощью компьютерных технологий оценить количественные характеристики траектории движения этого шарика. Много-много раз наш шарик оказывается в окрестности одной и той же точки фазового пространства. Пусть у нас есть одна траектория. вторую траекторию, начинающуюся из близкой точки, мы можем считать возмущенной первой граекторией. И по этим двум траекториям можно определять среднюю скорость их расходимости, а значит и горизонт прогноза.

Ю.А. Израэль: Вы оцениваете горизонт протеза в метеорологии в две-четыре недели. Скажите более определенно, сколько?
Г.Г. Малинецкий: Мы в свое время остановились на трех неделях. Американские специалисты, которые приезжали к нам, утверждают, что три недели - это действительно та самая величина.

Хочу, чтобы меня поняли правильно, поэтому еще раз вернусь к маятнику. После того, как я запущу его, есть 5%-ный шанс, что он выйдет на простой периодический режим, который отлично предсказуем. Другими словами, существуют некие странные места в фазовом пространстве, где предсказуемость является аномально хорошей. В метеорологии хорошо известно такое явление, как блокинг. Если атмосфера находится в некотором специальном состоянии, мы попадаем в окрестность вполне определенной точки фазового пространства, в которой горизонт прогноза может быть довольно далеким. Но в среднем в системе есть конкретный конечный горизонт прогноза.

Академик Г.И. Марчук: В Сибирском отделении РАН Михаил Алексеевич Лаврентьев делал некие эксперименты. Имеется волна, довольно большая волна, может быть, даже волна цунами. Но пошел дождь, и вдруг энергия волны диссипирует: волна становится меньше, меньше и исчезает. Как этот эксперимент укладывается в теорию, которую вы развиваете?
Г.Г. Малинецкий. Честно говоря, я ждал такого вопроса. И приготовил некую демонстрацию. Посмотрите на эту игрушку (см. снимок). В равновесии она имеет устойчивую форму, не меняющуюся при любом воздействии. Но у нее есть и другая форма равновесия. Если мы начнем медленно менять параметр, то в некий момент происходит скачок, и эта форма равновесия исчезнет. После скачка имеет место бифуркация, система становится очень чувствительной к малым воздействиям. Это типичная картина для многих сложных систем, начиная с социальных и кончая экономическими. По-видимому, такое явление наблюдалось в экспериментах наших коллег из Новосибирска.
 

Игрушка, иллюстрирующая аномальную чувствительность системы вблизи точки бифуркации. Эта игрушка имеет два устойчивых состояния равновесия (а, б). Меняя число витков пружины, зажатых в руке, мы изменяем параметр. Вблизи точки бифуркации (в), где исчезает одно из состояний равновесия, пружина обладает аномальной чувствительностью к малым возмущениям. Последние скачком могут привести пружину в состояние равновесия а

Академик Н.А. Шило: Я как-то обратил внимание, что распределение времен полураспада как стабильных, так и радиоактивных изотопов химических элементов укладывается в ряд Фибоначчи. Какова связь между рядом Фибоначчи и гигантским процессом распада радиоактивных элементов, который охватывает, можно сказать, всю Вселенную?
Г.Г. Малинецкий: Именно этой задачей мы не занимались, мы просто не встречали людей, которые задавали бы такие вопросы.
Академик Р.И. Нигматулин: Мне представляется, что одна из причин появления всякого рода неопределенностей - это наличие порогов. И другая причина состоит в том, что большинство процессов описывается огромным количеством параметров, и так как мы все их не можем охватить, то количество параметров приходится уменьшать. Вместо миллиардов уравнений - семь-восемь. Например, в классической механике неопределенность - это плата за наличие порогов или за сокращение числа переменных или еще каких-то величин.
Г.Г. Малинецкий: Действительно, то, о чем вы говорите, - важные причины возникновения неопределенности. Но наряду с ними есть еще более глубокая причина. В такой элементарной системе, как система Лоренца, нет порогов, нет ни одного из перечисленных вами факторов, но существует неопределенность. Природа устроила все таким образом, что у нее есть принципиальное ограничение, связанное с горизонтом прогноза.
Академик В.А. Кабанов: Несколько лет назад вы делали доклад на химическом факультете МГУ, в котором анализировались возможности прогноза состояния образования в стране в зависимости от объема финансирования. Насколько я помню, из вашей модели выходила такая вещь: если взять некую страну с достаточно высоким уровнем науки и образования, которые так или иначе подпитываются, а потом уменьшить эту подпитку, то этот высокий уровень сохраняется до поры до времени, а затем наступает коллапс. Сегодня в нашей стране уменьшается процент валового внутреннего продукта, отчисляемый на науку и образование. Можно ли, используя ваши выкладки, предсказать, через сколько лет наступит состояние коллапса науки и образования у нас в стране?
Г.Г. Малинецкий: Работа, о которой вы упомянули, была связана преимущественно с образованием. Мы действительно установили некий порог финансирования, начиная с которого система "наука плюс образование" никак не влияет на макроэкономику. Это не означает, что образование не влияет на микроуровне - люди удовлетворяют свое любопытство, повышают свой социальный статус и т.д. Кроме того, мы проследили, как будет меняться преподавательский корпус. Это было в 1995 г.

Когда мы предъявили свои прогнозы, нас очень хвалили, но говорили, что все это слишком мрачно, что надо быть реалистами - увеличивать финансирование науки и образования не на проценты, а в разы, как мы советовали, невозможно. К сожалению, реальность оказалась примерно такой, как мы предсказывали, и даже несколько более мрачной. По нашим выкладкам, реформа высшей школы и среднего образования, которая задумана в настоящее время, преступна - она приведет к форсированной деградации всей нашей системы.

Полагаю, что на макроуровне анализировать научный сектор, инновационный сектор, в принципе, тоже возможно. Но здесь есть две проблемы. Одна - это социальный заказ, должны быть люди, которых действительно интересует прогноз, другая - необходимость большого набора данных. Мы работаем с Ярославским регионом, работаем с московским правительством. Выяснилось, что все данные - приватизированы, за них надо платить, платить и платить. Поэтому эти два обстоятельства не позволяют сейчас нашему коллективу строит такие же модели и так же серьезно говорить о науке, как мы говорили об образовании в свое время.

Академик В.И. Субботин: Вы использовали термин "запроектные аварии". Не вы его придумали, но он несет в себе очень опасную вещь. Конечно, абсолютно безопасным ничто быть не может. Но система, которую человек создает, имеет право на аварию, но не имеет права на катастрофу. Если же этого нельзя добиться, то надо просто закрыть данное направление и искать другие пути для достижения конечной цели. А идея запроектной аварии создает возможность краха.
Г.Г. Малинецкий: Приведу пример не из атомной энергетики, а из нефтедобычи. Буровые платформы есть в Северном море и в Мексиканском заливе. Это более миллиона тонн металла и бетона, стоимость их более 2 млрд. долл. Платформы делаются сверхнадежными. Вообще говоря, когда они только запускались, то было ощущение, что здесь ничего аварийного не может быть. Оценки риска, которые тогда делались, утверждали, что возможна одна авария не в 1 млн. лет, как в случае атомного реактора, а в 20 млн. лет, то есть они проектировались на порядок более надежными, чем атомный реактор. Тем не менее на 15 платформах были тяжелые аварии.

Мы должны быть готовы к тому, что для сложных технических систем катастрофы возможны. Надо считать деньги, но надо и строить, когда рисковать очень выгодно. Полностью предотвратить вероятность катастрофы, как сейчас осознано, просто невозможно, поэтому при проектировании следует иметь в виду и худшие из возможных сценариев.

И последнее в этой связи. Человек с его квалификацией, психологическим состоянием и т.д. тоже является частью технологической системы. И вот когда человеческие факторы резко ухудшаются, то наступает то, о чем мы всегда предупреждали: по вине людей техносфера начинает "лететь". Грубо говоря, при такой-то квалификации людей и уровне зарплаты мы можем использовать вот такие-то технологии, при снижении квалификации и зарплаты использование сложной техники чревато бедствиями и катастрофами. Этот аспект для России, на наш взгляд, очень важен.

Академик Г.С. Голицын: Хотел бы напомнить, что впервые проблема предсказания была поставлена метеорологом Филиппом Томпсоном еще в середине 50-х годов прошлого века. Лоренц дальше все это развивал. Вы не упомянули, может быть, за краткостью времени, что предсказывать можно статистику событий или погод. Прогноз погоды дается для какого-то временного интервала и для какой-то усредненной площади. И, как правило, чем больше временной интервал и чем больше площадь, на которой мы что-то предсказываем, тем больше горизонт прогноза. Мы уже знаем крайний предел прогнозирования при изучении климата.  Есть ли в других отраслях науки примеры расширения области прогноза во времени, в пространстве и т.д.?
Г.Г. Малинецкий. В техносфере мы столкнулись с такой вещью, как парадокс планировщика. Допустим, у нас есть очень хорошие модели, очень хорошая стратегия и очень хорошие решения, которые рассчитаны на 5 лет. Спрашивается, а что будет через 10 лет? Эти стратегии через 10 лет могут быть уже неэффективны, а через 20 нет - просто преступны. Поэтому возникает вопрос: сколько мы собираемся жить, как мы собираемся осреднять. Если мы собираемся жить в Московском княжестве и осреднять по Московской области, будут одни модели и решения; если же мы собираемся действовать на территории всей России, тогда должна быть другая стратегия. Многие кредиты, которые брала Россия, брались в расчете на то, что через 10 лет все будет очень хорошо. Этого не произошло. Более того, они брались, исходя из внутренней конъюнктуры, а не из мировой динамики, они брались, исходя из наших благих намерений.

Поэтому давайте четко поставим задачу, что мы хотим получить. А далее, в зависимости от постановки задачи, мы получим разные уравнения, разные модели. И здесь, на мой взгляд, ситуация та же, что и в метеорологии. Действительно, предсказывать климат легко, предсказывать погоду очень трудно.

Г.С. Голицын: Очень важно представлять, что мы можем, что не можем, что опасно. Наука сейчас переживает коммерциализацию, которая сама ставит целый ряд важных математических задач.

Академик Н.П. Лаверов: Меня смущает, что в нервом чтении Государственной думой принят новый закон о прогнозировании, включающий прогнозирование и процессов, и явлений. Учитывая большое влияние различных случайностей, которые вносятся извне в действующую систему, можем ли мы, созрели ли мы для того, чтобы принимать в Думе закон по прогнозированию процессов и явлений?

Ю.А. Израэль: Это чудо, что делает Дума. Как можно принимать закон о прогнозах!

Н.П. Лаверов: Дума есть Дума, а мы должны быть в курсе того, что там делается.

Г.Г. Малинецкий: Почему такой закон принимается, могу пояснить, так как мне довелось беседовать с экспертами. Они комментируют это следующим образом: у нас сейчас никто ни за какие прогнозы ответственности не несет.

Как делается прогноз в нормальной ситуации в нормальных странах? Допустим, разработан прогноз развития экономики. Есть верификация, модели, они обсуждаются, есть компетентные люди, способные заявить: да, наше научное сообщество понимает, что на данный момент времени у нас нет модели лучше, поэтому на нынешнем уровне технологии мы будем прогнозировать экономику, исходя из нее. С течением времени посмотрим, насколько хорошо мы предсказали будущее и будем корректировать наши модели.

Что происходит в нашей стране? Команда правительства меняется довольно часто. Она организует свой аналитический центр, приводит специалистов по прогнозу, которые принимают решения. И когда правительство спрашивают, что же произошло, что же вы наделали, обычно отвечают: "Знаете, у нас такой прогноз был. Из него мы и исходили". Для того чтобы таких разговоров не было, отчасти поддавшись эмоциям. Дума, я полагаю, и принимает закон о прогнозе.

Н.П. Лаверов: Тогда хочу продолжить. Если примут этот закон, то мы будем действовать в каких-то законом определенных рамках, неудачи прогноза будем сваливать на то, что закон принят и никакие модели не нужно менять. Вы вообще видели, что там записано?
Г.Г. Малинецкий: Видел. В нем к прогнозу подходят так, как будто мы живем во времена Лапласа, в частности, игнорируется наличие объективного горизонта прогноза. С этой точки зрения, на мой взгляд, закон неразумен. Надо более трезво оценивать возможности современной науки. К тому же в нем не предусмотрено еще одно обстоятельство. По идее, прогноз - это процесс. Есть некая комиссия. Вы даете ей прогноз и в результате выясняется, работает или не работает ваша методика. Выясняется прежде всего на основе того, сбылся прогноз или нет. Однако такого механизма нет ни в Гостехнадзоре, его нет в массе других жизненно важных ведомств, в частности в Министерстве обороны. Если бы всюду дело было бы поставлено примерно так, как с прогнозом землетрясений, а именно: прогноз - это, с одной стороны, однократный акт, а с другой - это технология и постоянная работа, которую надо совершенствовать, проблем бы не было.

Полагаю, что если не проявить инициативу, то закон о прогнозе примут без поправок, которые могла бы внести Российская академия наук.

Академик Д.С. Львов: Сегодня в области экономики существуют так называемые альтернативные подходы к социально-экономическому прогнозированию, которые можно представить в виде своеобразных конусов, расширяющихся со временем. В нашей нынешней ситуации пересекающаяся область этих конусов оказывается настолько мала по времени, что различные альтернативы развития, скажем, макроэкономических параметров экономики России, оказываются практически неразличимы. В этой связи у меня к вам два вопроса. Хотя бы в приблизительной оценочной форме вы исследовали знаменитый прогноз Грефа? Оценивали ли вы, сколько стоит расширить горизонт прогноза и посмотреть немножко дальше, чем мы имеем возможность сегодня?
Г.Г. Малинецкий: К сожалению, для такого рода работы мы не нашли заказчика, хотя нам очень хотелось этим заняться. Когда в нашем институте обсуждалась программа Грефа, то первая мысль, которая возникла у нас, - а где те модели, на которых основана, например, та жуткая пенсионная альтернатива, которая нарисована у Грефа? Да, работающих будет меньше, но людей-то пенсионного возраста также будет меньше! Поэтому принимаются совершенно жуткие вещи, исходя из неясных моделей.

И вот когда мы обратились в центр Грефа с просьбой предоставить Институту прикладной математики модели, на которых базируется программа Грефа, молчание было нам ответом. Я полагаю, что у нас просто очень низкая культура, если считается нормальным, когда человек выдвигает программу, никак ее не обосновывая прогнозами и серьезными моделями.

Хочу обратить внимание еще и на такой факт. Сейсмологи научились прогнозировать землетрясения благодаря тому, что у них есть огромные массивы данных, которые каждый, делающий прогнозы, может анализировать. В экономической статистике ничего похожего нет. Мало того, что каждое сколько-нибудь небольшое ведомство, имея свои статистические данные, их никому не обязано давать и зачастую норовит продать. Многие важные данные просто не собираются или выбрасываются.

На мой взгляд, Думе следовало бы принимать не закон о прогнозе, а закон о статистических данных, которые являются стратегически важной информацией.

Академик Г.А. Месяц: Хочу заметить, что три академических института дали заключение о программе Грефа. Главный вопрос был такой: можно ли в рамках тех концепций или моделей, которые предложены, обеспечить 5%-ный рост ВВП, который заложен в программе Грефа. Один институт дал 1% роста, другой - нулевой рост, а третий минус 1%. Так что вы абсолютно правы: модели никто не показывает. А те модели, которые имеют наши ученые-экономисты, они, конечно, более реалистичны.



 

В обсуждении научного сообщения приняли участие:
академики А.Ф. АНДРЕЕВ, Р.Ф. ГАНИЕВ, Ю.А. ИЗРАЭЛЬ, Н.А. КУЗНЕЦОВ, Д.С. ЛЬВОВ,
доктор технических наук С.Ю. МАЛКОВ (Центр проблем стратегических ядерных сил Академии военных наук),
академики Г.А. МЕСЯЦ, Р.И. НИГМАТУЛИН, Н.А. ПЛАТЭ, Д.В. РУНДКВИСТ, В.И. СУББОТИН.


 

Академик А.Ф. Андреев: Здесь все время говорилось слово "прогноз". Между тем прогноз - это то, чем занимается наука всегда: по данным начальным условиям определить, что будет с системой потом. Поэтому наш разговор о прогнозе -это фактический разговор о судьбе науки в современном обществе. Когда Дума принимает закон о прогнозе, она тем самым принимает закон о науке. Нельзя отделить прогноз от науки и науку от прогноза. Это одно и то же.

В последнее время под проблемой прогнозов имеется в виду действительно нечто жизненно важное для экономики, для жизни, поэтому отношение к прогнозу чисто человеческое, оно как бы отличается от отношения к науке. Я с этим глубоко не согласен.

Доклад мне очень понравился. В нем показано, что когда мы приступаем к решению какой-то задачи о прогнозе, то есть предсказании, что будет со структурой, с системой, надо иметь в виду всякие тонкости, которых тут очень много. Система может с очень большой точностью описываться простыми уравнениями, и это есть модель системы. Никакая простая модель полностью систему никогда не опишет. Всегда есть что-то неучтенное. Простая модель имеет некоторую точность, и бывает, что точность очень хорошая. Но когда система развивается, она может войти в область неустойчивости. Это может быть собственная неустойчивость модели, которая всем очевидна, а может быть неустойчивость по отношению к параметрам, в этой модели не учитываемым. Тогда, сколько бы вы ни анализировали модель, неустойчивости не увидите. Докладчик приводил пример с электромагнитным полем в маятнике, действие которого, на первый взгляд, не видно.

Я не согласен с тем, что до 60-х годов прошлого века люди всего этого не понимали. Просто начиная с 60-х годов наука о прогнозировании начала бурно развиваться. Сейчас эта очень важная область исследований находит все большее применение во всех науках и в обществе. Эти прогнозы, в принципе, ничем не отличаются от всех тех задач, которые наукой уже очень давно решены. И к ним надо относится с тем же почтением, как и вообще к науке.


Ю.А. Израэль: Выскажу несколько замечаний. Что касается метеорологических прогнозов, то тут предел предсказуемости две-три недели. В климатологии, о чем говорил академик Голицын, ученые даже отказались от слова "прогноз", они используют слово "проекция". Они дают эти прогнозы на 50, на 100 лет вперед, отнюдь не рассчитывая каждую отдельную траекторию. Поэтому надо понимать, что есть два различных подхода к прогнозам.

Теперь о запроектных авариях, о которых упоминал академик Субботин. Эти аварии, как правило, рассматриваются в проектах, они тоже как бы допускаются. Но есть такие аварии, о которых докладчик сказал, что они настолько редкие, что ими пренебрегают. Так нас как раз больше интересуют именно они. Ведь Чернобыльская авария не вошла в категорию запроектных. Вся та фантазия, которую проектанты вложили в проекты атомных электростанций, не дошла до ситуации, которая реализовалась в Чернобыльской аварии, это известно. Поэтому, мне кажется, там, где речь идет о степенной статистике, где речь идет о редких событиях, надо еще раз внимательно посмотреть, к каким запроектным авариям эти данные относятся.

И последнее замечание. Я не читал закон о прогнозе, который обсуждается в Думе. Если это закон о порядке использования прогнозов, он инолне естественен, но если закон проповедует какие-то научные истины, то я думаю, таких законов в принципе не должно быть.


Н.А. Кузнецов: Назову еще одну причину ограниченности прогноза. Она связана с принципиальной ограниченностью компьютеров.

Если траектория системы заполняет некую область фазового пространства, то такую траекторию на вычислительных машинах мы не сможем прогнозировать "потраекторно". Дело в том, что вычислительные машины обладают разрядностью. Все уравнения переводятся в цифры. ( скажем, система уравнений в частных производных с помощью дискретизации приводится к системе уравнений в обыкновенных производных, и дальше идет счет. Но когда мы писали систему уравнений в обычных производных, мы предполагали, что часть координат непрерывна: одну часть координат мы дискретизировали, другую оставили непрерывной. В вычислительной машине нет непрерывных координат, там все координаты дискретны. У нас на каждом интервале времени существует конечный набор точек, куда может попасть система, то есть непериодического движения в принципе не может быть. И это надо четко понимать. Можно прогнозировать только распределения, но не каждую траекторию в отдельности.

В последние два-три года развиты методы, которые позволяют по полученным условиям полугиперболичности судить, можем ли мы на дискретных вычислительных машинах промоделировать эту траекторию в принципе. А если не можем, то как сделать так, чтобы на вычислительной машине посчитать распределение траекторий. Другими словами, мы не можем сказать, как будет идти траектория в фазовом пространстве, но можем сказать, что в окрестности этой точки она будет пребывать одно время, в окрестности иной - другое. Это тоже прогноз, но прогноз своеобразный.


В.И. Субботин: У меня очень короткая реплика по поводу Чернобыля. Сейчас уже все признают, что был дефект проекта. Кроме того, очень важно, чтобы система управления была бы самозащищенной: если кто-то начинает операции, противоречащие логике, она не должна их выполнять. К сожалению, это не было внедрено. Обращаю ваше внимание, что под термином "запроектная авария", "гипотетическая авария" часто скрывается дефектный проект.


Д.С. Львов: Доклад мне показался исключительно интересным своей многоаспектностью, включающей в том числе исследования экономических процессов. С моей точки зрения, такие исследования могли бы иметь большое прикладное значение. И в этой связи я попросил слово не случайно.

Как ни прискорбно мне, специалисту в области экономики, но я должен сказать, что мы оперируем информацией сугубо индивидуальной, с огромным числом наслоений. Поэтому любой экспериментатор, желающий с помощью модели, которой я пользуюсь, повторить мой результат, получит результат совершенно другой. Мы с легкостью необычайной позволяем вольно обращаться с важнейшими статистическими показателями. Везде актуальна проблема статистики, однако только в нашей стране система измерений, которой мы пользуемся, с самого начала имеет прогнозный период, близкий к нулю. А мы в такие прогнозы верим и создаем повышенные ожидания от экономической науки. Считаем, что якобы она что-то умеет, что-то делает, вместо того, чтобы анализировать модели, лежащие в основе тех или иных построений. Это первый момент.

Второе. Мне представляется совершенно очевидным, что в академии (и доклад, который мы прослушали, как мне кажется, наглядное тому подтверждение) имеется достаточно большой научный задел, используя который при анализе экономической информации, в оценке экономических параметров развития, можно сделать существенный шаг вперед. Однако академия сегодня стоит в стороне от этих работ (прошу меня правильно понять), демонстрируя абсолютную беспринципность. Мы знаем: то, что закладывается в развитие нашей экономики, научно не обосновано. А что мы делаем? - поднимаем руки, поддерживаем.

В заключение относительно ожиданий, которые мы создаем у студентов. В любом учебнике экономики описывается какая-то модель, предложенная лауреатом Нобелевской премии по экономике. Но модель не подтверждается реальной действительностью, потому что если вы возьмете различные временные интервалы, возьмете разные страны, эта модель не работает. Таковы факты и надо что-то с ними делать.


С.Ю. Малков: Мы занимаемся вопросами обеспечения и прогноза стратегической стабильности нашей страны в военной области. В последнее время мы расширили тематику, включив исследования, связанные с информационной стабильностью, социально-психологической, экономической и иной безопасностью. В сотрудничестве с Институтом прикладной математики им. М.В. Келдыша РАН и другими организациями мы моделируем социальные процессы, в частности, исторические процессы.

Мы установили, что для общества закрытого типа, которое ограничено территорией и ресурсами, существует устойчивое состояние, такое общество - это замкнутая система. Если система разомкнута, то есть имеются соседи, нет жестких границ, то она сугубо неустойчива, как в свое время был неустойчивым феодализм. Для капиталистического общества устойчивое состояние существует, но область притяжения аттрактора непрерывно меняется, и при определенных соотношениях параметров возникает несколько аттракторов, которые при одном и том же уровне производительных сил могут привести к обществу феодального типа с неравномерным распределением доходов. Эта социальная структура тоже устойчива.

Другими словами, для социальных систем характерны переходы в локальный хаос, множественность аттракторов при одних и тех же макропараметрах. И когда мы говорим о прогнозах, то должны понимать, что точные прогнозы на какой-то достаточно большой период времени невозможны, это - самообман. Можно говорить только о прогнозах на короткий период, о наличии или отсутствии устойчивых состояний, причем этих устойчивых состояний, как правило, бывает несколько. Так вот, стратегия прогнозирования должна быть следующей: надо выяснять, какие параметры и в каком сочетании (потому что сочетание изменений параметров тоже очень важная вещь) нужно менять для того, чтобы попасть в нужное нам предельное состояние. Наша страна сейчас находится в аттракторе с малопродуктивным состоянием экономики, который характеризуется феодальной структурой общества.

Хотелось бы, чтобы в Академии наук уделялось больше внимания междисциплинарным исследованиям, а в вузах готовились студенты, которые бы хорошо владели и гуманитарной проблематикой, и методами нелинейного анализа. Если этого не будет, то существенного прогресса в прогнозировании ждать не приходится.


Р.И. Нигматулин: Думая, что сегодняшнее заседание - один из редких примеров, когда каждое слово, сказанное докладчиком и выступающими, чрезвычайно интересно. Не буду говорить о сути дела, но как депутат Государственной думы считаю нужным затронуть закон о прогнозе, который сейчас обсуждается в Думе. Я о нем тоже размышлял.

Всем известно, что цифры государственного бюджета основаны на прогнозе. Самый фундаментальный прогноз говорит о том, что ВВП на 2001 г. составит 7.5 трлн. руб., а госбюджет почти 1.2 трлн. руб. Принимается Налоговый кодекс, который тоже распределяет нормы. При этом правительство заявляет, что госбюджет оно сохранит. А на каком основании делается такое заявление? В зависимости от методики расчета ВВП цифры будут меняться. Наверное, для этого есть определенные стандартные методики. Это не уравнения с частными производными, это группа простых, может быть, десять-двадцать арифметических операций. Да нам не нужны десятки цифр, нам нужно знать 1 трлн. или 2 трлн. налогов мы соберем. И в этой связи правительство должно быть поставлено, по-моему, в рамки закона о прогнозе. Нужны ограничения по тем или иным цифрам госбюджета, которые каждый год утверждаются. И методика их получения, тем более что некоторые из них носят фундаментальный характер, мне кажется, должна быть регламентирована законом о прогнозе.


Р.Ф. Ганиев: Нелинейная механика - это та область, которой наш коллектив всю жизнь занимается, особенно в последние годы в связи с необходимостью разработки наукоемких технологических процессов. Но есть любители создать новую науку. Придумают название, берут пример из биологии, типа автоколебательной системы: зайцев много, волков больше; волков много, зайцев меньше. Это и есть новая наука - синергетика. Нет, наука только тогда становится наукой, когда есть общие математические модели, общие механизмы, общие методы. Их в синергетике нет! Есть разнообразные области применения, есть прекрасные аналогии, которые из механики могут брать физики, из физики - биологи. Но модели в биологии очень сложные, ими нужно заниматься конкретно и серьезно.

Кстати, недавно я прочитал статью математика В.И. Арнольда. На простейших математических системах он пытался прогнозировать некоторые социальные процессы. Это очень интересно, но при всем моем уважении к этому крупному математику, такими вопросами должны заниматься студенты, может быть, специалисты в области социологии, чтобы почувствовать тенденции. Модели, которые сегодня рассматривались, очень просты, поэтому специалисты в области социологии, экономических наук должны к ним относиться с большой осторожностью. Предстоит еще большая работа по созданию самих математических моделей. Мне бы хотелось больше услышать и об аттракторных моделях, и о хаосе.

Когда это модное направление появилось, мы, механики, хорошо знали, что в детерминированных системах наряду с регулярными процессами всегда наблюдаются и неустойчивые. Возьмем стакан, наполненный водой, и начнем его колебать. На каких-то определенных частотах поверхность жидкости в стакане будет совершать плоские колебания, на других частотах она будет вращаться, то есть пространственные движения будет совершать колебания в двух плоскостях. А между этими двумя состояниями существует неустойчивая область - вся жидкость будет совершать хаотические движения. Это явление описывается простыми механическими методами без участия таких терминов, как странные аттракторы, хаос и т.д.

В заключение хочу еще раз подчеркнуть, что модели, которые имеют отношение к социальным явлениям, к явлениям экономическим, очень сложны. И поэтому основывать на них далеко идущие выводы надо очень осторожно.


Н.А. Платэ: Я очень рад, что доклад вызвал такую хорошую реакцию, потому что был одним из инициаторов его постановки на заседании Президиума РАН. И действительно, здесь есть поле для размышления, для взаимодействия специалистов самых разных областей.

Несколько коротких комментариев. Конечно, шпроектные, плохо предсказуемые катастрофы должны нас интересовать, может быть, в первую очередь. Многие из здесь присутствующих помнят историческое заседание Президиума через два месяца после Чернобыля в этом зале, когда выступал Валерий Алексеевич Легасов, был Анатолий Петрович Александров. В то время вероятность этой аварии оценивались меньше, чем в 10-7 в год. И тем не менее она произошла. Вклад от проекта, может быть, в чем-то неудачного, конечно, был в аварии, но было и сумасшедшее сочетание многих других вещей. Мне кажется, мы должны иметь возможность оценить вероятность подобных событий с помощью моделей, предсказать их и дать какие-то советы, как можно было бы их предотвратить.

Что касается использования модельного подхода непосредственно в экономике, то мне кажется, такую возможность следовало бы обсудить. Многие десятилетия страна вкладывает огромные средства в агропромышленный комплекс. Советский Союз не могли накормить, и Россию не можем. Каждый раз у нас битва за урожай, битва за посевную, закупки и прочее. Может быть, здесь просматривается просто несовершенство политики. Я оставляю в стороне всякие идеологические и политические вещи, которые здесь накручены, но такие вещи надо посмотреть.

Георгий Геннадьевич Малинецкий демонстрировал рисунок, который показывает, как финансирование науки и образования сказывается на экономике. Из этого вытекает один очень важный вывод. Вот мы радуемся. Дума и правительство обещают увеличить на 30% бюджет на науку в 2001 г. Но если модели и расчеты правильны, то может оказаться, что эти 30% качественно ситуацию не изменят, и тогда наступит разочарование и недовольство: мы вкладываем в науку, а это никакого влияния не оказывает на экономику. Надо оценить критические величины ассигнований на науку в долях процента ВВП, которые бессмысленны с точки зрения дальней стратегии. А может быть, надо качественно показать, что увеличение ассигнований не на 30%, а на 300%, через два года приведет к росту экономики.

Вот такую воспитательную работу с правительственными чиновниками, с Думой и прочими следовало бы проводить нашим экономистам и представителям той группы, которую возглавляют Георгий Геннадьевич Малинецкий и Сергей Павлович Курдюмов.


Д.В. Рундквист: Я шел на этот доклад с очень большим интересом, потому что вопросы прогнозирования для геологии, для сейсмики - это дело номер один. К сожалению, ухожу с доклада без той ясности, которую надеялся вынести. Докладчик поставил исключительно важную задачу: решил рассмотреть вопросы прогнозирования всех процессов, явлений в социальной сфере, в природе, а также в техногенной сфере. Казалось бы, поставив такую суперобщую задачу, он должен был бы сделать суперобщие выводы, которые дальше мы будем детализировать в отдельных направлениях. К сожалению, выводы (я пытался их четко зафиксировать) мне будет трудно использовать.

Я нисколько не возражаю всем, кто высоко оценил доклад. Цель моего выступления - просто заявить о том, что когда ставятся подобные доклады, хотелось бы формулировать более четкие выводы по фундаментальным проблемам, которыми мы в дальнейшем сможем воспользоваться. Сверхобщее обобщение - такое, как нам было предложено, - малоперспективно.

В целом я очень рад, что такой доклад был. Это сверхважное направление, и я надеюсь, что будущие контакты позволят нам, и в частности мне, лучше понять, что же сегодня конкретно геологи могут использовать.


Г.А. Месяц: Наверное, трудно сделать доклад, из которого что-то новое получили бы и ядерщики, и механики, и экономисты. Думаю, это совершенно естественная реакция.


Г.Г. Малинецкий. Хочу поблагодарить за очень интересное обсуждение и прежде всего за понимание. Только один из выступавших понял меня с точностью до наоборот. Когда речь шла об авариях, было сказано, что есть технические системы, в которых можно пренебречь запроектными или гипотетическими авариями. В частности, при автомобильных авариях это можно делать. Но есть сложные системы, где так поступать нельзя, где надо рассчитывать на худшее. Наш институт совместно с Институтом проблем управления сейчас занимается сценарным моделированием именно худших ситуаций, с которыми мы можем столкнуться.

Что касается выводов из доклада, хотел бы. чтобы было понято следующее. Есть некие общие фундаментальные ограничения в прогнозировании. Сейчас наука установила принципиальные ограничения для прогнозов самых разных систем. Прогноз становится одной из важнейших технологий во многих областях. А в каких областях он наиболее эффективен - это, я думаю, тема для общей работы. Большое спасибо за очень интересную дискуссию.


Г.А. Месяц: Думаю, что многие сегодня почерпнули из доклада новую и нужную для себя информацию. Во всяком случае, появилось некоторое ощущение, что в различных отраслях науки есть очень много общего.