Вестник РАН ВЕСТНИК РОССИЙСКОЙ АКАДЕМИИ НАУК

том 71, №4, с. 320-328, 2001

© А.С. Спирин
БИОСИНТЕЗ БЕЛКОВ, МИР РНК
И ПРОИСХОЖДЕНИЕ ЖИЗНИ

А.С. Спирин

Спирин Александр Сергеевич - академик, директор Института белка РАН, член Президиума РАН.

Почти полвека тому назад, в 1953 г., Д. Уотсон и Ф. Крик открыли принцип структурной (молекулярной) организации генного вещества - дезоксирибонуклеиновой кислоты (ДНК) [1]. Структура ДНК дала ключ к механизму точного воспроизведения - редупликации - генного вещества [2]. Так возникла новая наука - молекулярная биология. Была сформулирована так называемая центральная догма молекулярной биологии: ДНК Ю РНК Ю белок. Смысл ее состоит в том, что генетическая информация, записанная в ДНК, реализуется в виде белков, но не непосредственно, а через посредство родственного полимера - рибонуклеиновую кислоту (РНК), и этот путь от нуклеиновых кислот к белкам необратим. Таким образом, ДНК синтезируется на ДНК, обеспечивая собственную редупликацию, то есть воспроизведение исходного генетического материала в поколениях; РНК синтезируется на ДНК, в результате чего происходит переписывание, или транскрипция, генетической информации в форму многочисленных копий РНК; молекулы РНК служат матрицами для синтеза белков - генетическая информация транслируется в форму полипептидных цепей. В специальных случаях РНК может переписываться в форму ДНК ("обратная транскрипция"), а также копироваться в виде РНК (репликация), но белок никогда не может быть матрицей для нуклеиновых кислот (подробнее см. [3]).

Итак, именно ДНК определяет наследственность организмов, то есть воспроизводящийся в поколениях набор белков и связанных с ними признаков. Биосинтез белка является центральным процессом живой материи, а нуклеиновые кислоты обеспечивают его, с одной стороны, программой, определяющей весь набор и специфику синтезируемых белков, а с другой - механизмом точного воспроизведения этой программы в поколениях. Следовательно, происхождение жизни в ее современной клеточной форме сводится к возникновению механизма наследуемого биосинтеза белков.

БИОСИНТЕЗ БЕЛКОВ

Центральная догма молекулярной биологии постулирует лишь путь передачи генетической информации от нуклеиновых кислот к белкам и, следовательно, к свойствам и признакам живого организма. Изучение механизмов реализации этого пути на протяжении десятилетий, последовавших за формулировкой центральной догмы, вскрыло гораздо более разнообразные функции РНК, чем быть только переносчиком информации от генов (ДНК) к белкам и служить матрицей для синтеза белков.

На рис. 1 представлена общая схема биосинтеза белка в клетке. РНК-посредник (messenger RNA, матричная РНК, мРНК), кодирующая белки, о которой и шла речь выше, - это лишь один из трех главных классов клеточных РНК. Основную их массу (около 80%) составляет другой класс РНК - рибосомные РНК, которые образуют структурный каркас и функциональные центры универсальных белок-синтезирующих частиц - рибосом. Именно рибосомные РНК ответственны - как в структурном, так и в функциональном отношении - за формирование ультрамикроскопических молекулярных машин, называемых рибосомами. Рибосомы воспринимают генетическую информацию в виде молекул мРНК и, будучи запрограммированы последними, делают белки в точном соответствии с данной программой.
 

Рис. 1. Общая схема биосинтеза белков

Однако, чтобы синтезировать белки, одной только информации или программы недостаточно - нужен еще и материал, из которого их можно делать. Поток материала для синтеза белков идет в рибосомы через посредство третьего класса клеточных РНК - РНК-переносчиков (transfer RNA, транспортные РНК, тРНК). Они ковалентно связывают - акцептируют - аминокислоты, которые служат строительным материалом для беЛков, и в виде аминоацил-тРНК поступают в рибосомы. В рибосомах аминоацил-тРНК взаимодействуют с кодонами - трехнуклеотидными комбинациями - мРНК, в результате чего и происходит декодирование кодонов в процессе трансляции.

РИБОНУКЛЕИНОВЫЕ КИСЛОТЫ

Итак, перед нами набор главных клеточных РНК, определяющих основной процесс современной живой материи - биосинтез белка. Это мРНК, рибосомные РНК и тРНК. РНК синтезируются на ДНК с помощью ферментов - РНК-полимераз, осуществляющих транскрипцию - переписывание определенных участков (линейных отрезков) двутяжевой ДНК в форму однотяжевой РНК. Участки ДНК, кодирующие клеточные белки, переписываются в виде мРНК, тогда как для синтеза многочисленных копий рибосомной РНК и тРНК имеются специальные участки клеточного генома, с которых идет интенсивное переписывание без последующей трансляции в белки.

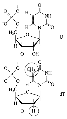
Химическая структура РНК. Химически РНК очень похожа на ДНК. Оба вещества - это линейные полимеры нуклеотидов. Каждый мономер - нуклеотид - представляет собой фосфорилированный N-гликозид, построенный из остатка пятиуглеродного сахара - пентозы, несущего фосфатную группу на гидроксильной группе пятого углеродного атома (сложноэфирная связь) и азотистое основание при первом углеродном атоме (N-гликозидная связь). Главное химическое различие между ДНК и РНК состоит в том, что сахарный остаток мономера РНК - это рибоза, а мономера ДНК - дезоксирибоза, являющаяся производным рибозы, в котором отсутствует гидроксильная группа при втором углеродном атоме (рис. 2).
 


Рис. 2. Химические формулы остатков
одного из рибонуклеотидов - уридиловой
кислоты (U) и гомологичного ему
дезоксирибонуклеотида -
тимидиловой кислоты (dT)
Азотистых оснований и в ДНК, и в РНК четыре вида: два пуриновых - аденин (А) и гуанин (G) -и два пиримидиновых - цитозин (С) и урацил (U) или его метилированное производное тимин (Т).

Урацил характерен для мономеров РНК, а тимин - для мономеров ДНК, и это второе различие РНК и ДНК. Мономеры - рибонуклеотиды РНК или дезоксирибонуклеотиды ДНК - образуют полимерную цепь посредством формирования фосфодиэфирных мостиков между сахарными остатками (между пятым и третьим атомами углерода пентозы). Таким образом, полимерная цепь нуклеиновой кислоты - ДНК или РНК - может быть представлена как линейный сахаро-фосфатный остов с азотистыми основаниями в качестве боковых групп.

Макромолекулярная структура РНК. Принципиальное макроструктурное различие двух типов нуклеиновых кислот состоит в том, что ДНК - это единая двойная спираль, то есть макромолекула из двух комплементарно связанных полимерных тяжей, спирально закрученных вокруг общей оси (см. [1, 3]), а РНК - однотяжевой полимер. В то же время взаимодействия боковых групп - азотистых оснований - друг с другом, а также с фосфатами и гидроксилами сахаро-фосфатного остова приводят к тому, что однотяжевой полимер РНК сворачивается на себя и скручивается в компактную структуру [4], подобно сворачиванию полипептидной цепи белка в компактную глобулу. Таким способом уникальные нуклеотидные последовательности РНК могут формировать уникальные пространственные структуры.

Впервые специфическая пространственная структура РНК была продемонстрирована при расшифровке атомной структуры одной из тРНК в 1974 г. [5,6] (рис. 3). Сворачивание полимерной цепи тРНК, состоящей из 76 нуклеотидных мономеров, приводит к формированию очень компактного глобулярного ядра, из которого под прямым углом торчат два выступа. Они представляют собой короткие двойные спирали по типу ДНК, но организованные за счет взаимодействия участков одной и той же цепи РНК. Один из выступов является акцептором аминокислоты и участвует в синтезе полипептидной цепи белка на рибосоме, а другой предназначен для комплементарного взаимодействия с кодирующим триплетом (кодоном) мРНК в той же рибосоме. Только такая структура способна специфически взаимодействовать с белком-ферментом, навешивающим аминокислоту на тРНК, и с рибосомой в процессе трансляции, то есть специфически "узнаваться" ими.

Рис. 3. Атомная (слева) и скелетная (справа) модели фенилаланиновой тРНК дрожжей

Изучение изолированных рибосомных РНК дало следующий разительный пример формирования компактных специфических структур из еще более длинных линейных полимеров этого типа. Рибосома состоит из двух неравных частей - большой и малой рибосомных субчастиц (субъединиц). Каждая субчастица построена из одной высокополимерной РНК и целого ряда разнообразных рибосомных белков. Длина цепей рибосомных РНК весьма значительна: так, РНК малой субчастицы бактериальной рибосомы содержит более 1500 нуклеотидов, а РНК большой субчастицы - около 3000 нуклеотидов. У млекопитающих, включая человека, эти РНК еще больше - около 1900 нуклеотидов и более 5000 нуклеотидов в малой и большой субчастицах соответственно.

Было показано, что изолированные рибосомные РНК, отделенные от их белковых партнеров и полученные в чистом виде, сами способны спонтанно сворачиваться в компактные структуры, по своим размерам и форме похожие на рибосомные субчастицы [7]. Форма большой и малой субчастиц разная, и соответственно различается форма большой и малой рибосомных РНК (рис. 4). Таким образом, линейные цепи рибосомной РНК самоорганизуются в специфические пространственные структуры, определяющие размеры, форму и, по-видимому, внутреннее устройство рибосомных субчастиц, а следовательно, и всей рибосомы.
 

Рис. 4. Сравнение контуров рибосомных субчастиц бактерий и их изолированных высокополимерных РНК в компактной форме по данным электронной микроскопии: вверху - большая субчастица и ее РНК; внизу - малая субчастица и ее РНК

Минорные РНК. По мере изучения компонентов живой клетки и отдельных фракций тотальной клеточной РНК выяснялось, что тремя главными видами РНК дело не ограничивается. Оказалось, что в природе существует множество других видов РНК. Это, в первую очередь, так называемые "малые РНК", которые содержат до 300 нуклеотидов, часто с неизвестными функциями. Как правило, они ассоциированы с одним или несколькими белками и представлены в клетке в виде рибонуклеопротеидов - "малых РНП" [8].

Малые РНК присутствуют во всех отделах клетки, включая цитоплазму, ядро, ядрышко, ми-тохондрии. Большая часть тех малых РНП, функции которых известны, участвует в механизмах посттранскрипционной обработки главных видов РНК (RNA processing) - превращении предшественников мРНК в зрелые мРНК (сплайсинг), редактировании мРНК, биогенезе тРНК, созревании рибосомных РНК. Один из наиболее богато представленных в клетках видов малых РНП (SRP) играет ключевую роль в транспорте синтезируемых белков через клеточную мембрану. Известны виды малых РНК, выполняющих регуляторные функции в трансляции. Специальная малая РНК входит в состав важнейшего фермента, ответственного за поддержание редупликации ДНК в поколениях клеток - теломеразы. Следует сказать, что их молекулярные размеры сопоставимы с размерами клеточных глобулярных белков. Таким образом, постепенно становится ясно, что функционирование живой клетки определяется не только многообразием синтезируемых в ней белков, но и присутствием богатого набора разнообразных РНК, из которых малые РНК в значительной мере имитируют компактность и размеры белков.

Рибозимы. Вся активная жизнь построена на обмене веществ - метаболизме, и все биохимические реакции метаболизма происходят с надлежащими для обеспечения жизни скоростями только благодаря высокоэффективным специфическим катализаторам, созданным эволюцией. На протяжении многих десятилетий биохимики были уверены, что биологический катализ всегда и всюду осуществляется белками, называемыми ферментами, или энзимами. И вот в 1982-1983 гг. было показано, что в природе имеются виды РНК, которые, подобно белкам, обладают высокоспецифической каталитической активностью [9, 10]. Такие РНК-катализаторы были названы рибозимами. Представлению об исключительности белков в катализе биохимических реакций пришел конец.

В настоящее время рибосому тоже принято рассматривать как рибозим. Действительно, все имеющиеся экспериментальные данные свидетельствуют о том, что синтез полипептидной цепи белка в рибосоме катализируется рибосомной РНК, а не рибосомными белками. Идентифицирован каталитический участок большой рибосомной РНК, ответственный за катализ реакции транспептидации, посредством которой осуществляется наращивание полипептидной цепи белка в процессе трансляции.

Вирусные РНК. Кроме нуклеиновых кислот (ДНК и РНК), организующих и обслуживающих жизнь клеточных организмов, в природе существуют паразитические молекулы ДНК и РНК. Одетые в защитную белковую оболочку, они называются вирусами. Соответственно, вирусы подразделяются на ДНК-содержащие и РНК-содержащие. Собственно в самих вирусных частицах никакой жизни нет - это просто способ упаковки, консервации и распространения внеклеточного генетического вещества. При попадании в живую клетку вирусная белковая оболочка сбрасывается, а генетическое вещество - нуклеиновая кислота - начинает функционировать как паразит, направляя жизнь клетки на синтез белков, ею кодируемых, и на репликацию самой себя. Так называемое "размножение" вирусов в клетке есть производство многочисленных копий вирусной ДНК или РНК путем репликации, с последующим их "одеванием" в оболочку из синтезированных клеткой вирусных белков.

Что касается репликации вирусных ДНК, то ее механизм мало чем отличается от редупликации генетического материала - ДНК - самой клетки. В случае же вирусных РНК реализуются процессы, которые подавлены или вовсе отсутствуют в нормальных клетках, где вся РНК синтезируется только на ДНК как на матрице. При инфекции РНК-содержащими вирусами ситуация может быть двоякой. В одних случаях на вирусной РНК как на матрице синтезируется ДНК ("обратная транскрипция"), а уж на этой ДНК транскрибируются многочисленные копии вирусной РНК. В других, наиболее интересных для нас случаях на вирусной РНК синтезируется комплементарная цепь РНК, которая и служит матрицей для синтеза - репликации - новых копий вирусной РНК. Таким образом при инфекции РНК-содержащими вирусами реализуется принципиальная способность РНК детерминировать воспроизведение своей собственной структуры, как это имеет место у ДНК.

К РНК-содержащим вирусам примыкает другая группа молекулярных паразитов - вироиды. Это патогенные РНК, не содержащие и не кодирующие никаких белков, но тоже способные к репликации в живых системах. Тем самым вирусные и вироидные РНК демонстрируют способность РНК не только кодировать белки, но и служить полноценным воспроизводящимся генетическим материалом. Вирусы и вироиды часто рассматриваются как эволюционные реликты, и процесс репликации РНК без участия ДНК может отражать очень ранний этап эволюции жизни, когда ДНК еще не утвердилась в качестве специализированной формы хранения и воспроизведения генетической информации в поколениях клеток.

Мультифункциональность РНК. Суммирование и обзор знаний о функциях РНК позволяют говорить о необыкновенной многофункциональности этого полимера в живой природе. Можно дать следующий список основных известных функций РНК.

• Генетическая репликативная функция: структурная возможность копирования (репликации) линейных последовательностей нуклеотидов через комплементарные последовательности. Функция реализуется при вирусных инфекциях и аналогична главной функции ДНК в жизнедеятельности клеточных организмов - редупликации генетического материала.

• Кодирующая функция: программирование белкового синтеза линейными последовательностями нуклеотидов. Это та же функция, что и у ДНК. И в ДНК, и в РНК одни и те же триплеты нуклеотидов кодируют 20 аминокислот белков, и последовательность триплетов в цепи нуклеиновой кислоты есть программа для последовательной расстановки 20 видов аминокислот в полипептидной цепи белка.

• Структурообразующая функция: формирование уникальных трехмерных структур. Компактно свернутые молекулы малых РНК принципиально подобны трехмерным структурам глобулярных белков, а более длинные молекулы РНК могут образовывать и более крупные биологические частицы или их ядра.

• Функция узнавания: высокоспецифические пространственные взаимодействия с другими макромолекулами (в том числе белками и другими РНК) и с малыми лигандами. Эта функция, пожалуй, главная у белков. Она основана на способности полимера сворачиваться уникальным образом и формировать специфические трехмерные структуры. Функция узнавания является базой специфического катализа.

• Каталитическая функция: специфический катализ химических реакций рибозимами. Данная функция аналогична энзиматической функции белков-ферментов.

В целом РНК предстает перед нами столь удивительным полимером, что, казалось бы, ни времени эволюции Вселенной, ни интеллекта Творца не должно было бы хватить на ее изобретение. Как можно было видеть, РНК способна выполнять функции обоих принципиально важных для жизни полимеров - ДНК и белков. Неудивительно, что перед наукой и встал вопрос: а не могло ли возникновение и самодостаточное существование мира РНК предшествовать появлению жизни в ее современной ДНК-белковой форме?

ПРОИСХОЖДЕНИЕ ЖИЗНИ

Белково-коацерватная теория Опарина. Пожалуй, первая научная, хорошо продуманная теория происхождения жизни абиогенным путем была предложена биохимиком А.И. Опариным еще в 20-х годах прошлого века [11, 12]. Теория базировалась на представлении, что все начиналось с белков, и на возможности в определенных условиях спонтанного химического синтеза мономеров белков - аминокислот - и белковоподобных полимеров (полипептидов) абиогенным путем. Публикация теории стимулировала многочисленные эксперименты в ряде лабораторий мира, показавшие реальность такого синтеза в искусственных условиях. Теория быстро стала общепринятой и необыкновенно популярной.

Основным ее постулатом было то, что спонтанно возникавшие в первичном "бульоне" белковоподобные соединения объединялись" в коацерватные капли - обособленные коллоидные системы (золи), плавающие в более разбавленном водном растворе. Это давало главную предпосылку возникновения организмов - обособление некой биохимической системы от окружающей среды, ее компартментализацию. Так как некоторые белковоподобные соединения коацерватных капель могли обладать каталитической активностью, то появлялась возможность прохождения биохимических реакций синтеза внутри капель - возникало подобие ассимиляции, а значит, роста коацервата с последующим его распадом на части - размножением. Ассимилирующий, растущий и размножающийся делением коацерват рассматривался как прообраз живой клетки (рис. 5).

Рис. 5. Схематическое представление пути происхождения жизни
согласно белково-коацерватной теории А.И. Опарина

Все было хорошо продумано и научно обосновано в теории, кроме одной проблемы, на которую долго закрывали глаза почти все специалисты в области происхождения жизни. Если спонтанно, путем случайных безматричных синтезов в коацервате возникали единичные удачные конструкции белковых молекул (например, эффективные катализаторы, обеспечивающие преимущество данному коацервату в росте и размножении), то как они могли копироваться для распространения внутри коацервата, а тем более для передачи коацерватам-потомкам? Теория оказалась неспособной предложить решение проблемы точного воспроизведения - внутри коацервата и в поколениях - единичных, случайно появившихся эффективных белковых структур.

Мир РНК как предшественник современной жизни. Накопление знаний о генетическом коде, нуклеиновых кислотах и биосинтезе белков привело к утверждению принципиально новой идеи о ТОМ, что все начиналось вовсе не с белков, а с РНК [13-15]. Нуклеиновые кислоты являются единственным типом биологических полимеров, макромолекулярная структура которых, благодаря принципу комплементарности при синтезе новых цепей (подробнее см. [3]), обеспечивает возможность копирования собственной линейной последовательности мономерных звеньев, другими словами, возможность воспроизведения (репликации) полимера, его микроструктуры. Поэтому только нуклеиновые кислоты, но не белки, могут быть генетическим материалом, то есть воспроизводимыми молекулами, повторяющими свою специфическую микроструктуру в поколениях.

По ряду соображений именно РНК, а не ДНК, могла представлять собой первичный генетический материал.

Во-первых, и в химическом синтезе, и в биохимических реакциях рибонуклеотиды предшествуют дезоксирибонуклеотидам; дезоксирибонуклеотиды - продукты модификации рибонуклеотидов (см. рис. 2).

Во-вторых, в самых древних, универсальных процессах жизненного метаболизма широко представлены именно рибонуклеотиды, а не дезоксирибонуклеотиды, включая основные энергетические носители типа рибонуклеозид-полифосфатов (АТФ и т.п.).

В-третьих, репликация РНК может происходить без какого бы то ни было участия ДНК, а механизм редупликации ДНК даже в современном живом мире требует обязательного участия РНК-затравки в инициации синтеза цепи ДНК.

В-четвертых, обладая всеми теми же матричными и генетическими функциями, что и ДНК, РНК способна также к выполнению ряда функций, присущих белкам, включая катализ химических реакций. Таким образом, имеются все основания рассматривать ДНК как более позднее эволюционное приобретение - как модификацию РНК, специализированную для выполнения функции воспроизведения и хранения уникальных копий генов в составе клеточного генома без непосредственного участия в биосинтезе белков.

После того как были открыты каталитически активные РНК, идея первичности РНК в происхождении жизни получила сильнейший толчок к развитию, и была сформулирована концепция самодостаточного мира РНК, предшествовавшего современной жизни [16, 17]. Возможная схема возникновения мира РНК представлена на рис. 6.
 

Рис. 6. Схематическое представление
пути происхождения жизни
согласно современной концепции
первичности мира РНК

Абиогенный синтез рибонуклеотидов и их ковалентное объединение в олигомеры и полимеры типа РНК могли происходить приблизительно в тех же условиях и в той же химической обстановке, что постулировались для образования аминокислот и полипептидов. Недавно А.Б. Четверин с сотрудниками (Институт белка РАН) экспериментально показали, что по крайней мере некоторые полирибонуклеотиды (РНК) в обычной водной среде способны к спонтанной рекомбинации, то есть обмену отрезками цепи, путем транс-эстерификации [18]. Обмен коротких отрезков цепи на длинные, должен приводить к удлинению полирибонуклеотидов (РНК), а сама подобная рекомбинация способствовать структурному многообразию этих молекул. Среди них могли возникать и каталитически активные молекулы РНК.

Даже крайне редкое появление единичных молекул РНК, которые были способны катализировать полимеризацию рибонуклеотидов или соединение (сплайсинг) олигонуклеотидов на комплементарной цепи как на матрице [19, 20], означало становление механизма репликации РНК. Репликация самих РНК-катализаторов (рибозимов) должна была повлечь за собой возникновение самореплицирующихся популяций РНК. Продуцируя свои копии, РНК размножались. Неизбежные ошибки в копировании (мутации) и рекомбинации в самореплицирующихся популяциях РНК создавали все большее разнообразие этого мира. Таким образом, предполагаемый древний мир РНК - это "самодостаточный биологический мир, в котором молекулы РНК функционировали и как генетический материал, и как энзимоподобные катализаторы" [21].

Возникновение биосинтеза белка. Далее на основе мира РНК должно было происходить становление механизмов биосинтеза белка, появление разнообразных белков с наследуемой структурой и свойствами, компартментализация систем биосинтеза белка и белковых наборов, возможно, в форме коацерватов и эволюция последних в клеточные структуры - живые клетки (см. рис. 6).

Проблема перехода от древнего мира РНК к современному белок-синтезирующему миру - наиболее трудная даже для чисто теоретического решения. Возможность абиогенного синтеза по-липептидов и белковоподобных веществ не помогает в решении проблемы, так как не просматривается никакого конкретного пути, как этот синтез мог бы быть сопряжен с РНК и подпасть под генетический контроль. Генетически контролируемый синтез полипептидов и белков должен был развиваться независимо от первичного абиогенного синтеза, своим путем, на базе уже существовавшего мира РНК. В литературе предложено несколько гипотез происхождения современного механизма биосинтеза белка в мире РНК, но, пожалуй, ни одна из них не может рассматриваться как детально продуманная и безупречная с точки зрения физико-химических возможностей. Представлю свою версию процесса эволюции и специализации РНК, ведущего к возникновению аппарата биосинтеза белка (рис. 7), но и она не претендует на законченность.

Предлагаемая гипотетическая схема содержит два существенных момента, кажущихся принципиальными.

Во-первых, постулируется, что абиогенно синтезируемые олигорибонуклеотиды активно рекомбинировали посредством механизма спонтанной неэнзиматической трансэстерификации [18], приводя к образованию удлиненных цепей РНК и давая начало их многообразию. Именно этим путем в популяции олигонуклеотидов и полинуклеотидов и могли появиться как каталитически активные виды РНК (рибозимы), так и другие виды РНК со специализированными функциями (см. рис. 7). Более того, неэнзиматическая рекомбинация олигонуклеотидов, комплементарно связывающихся с полинуклеотидной матрицей, могла обеспечить сшивание (сплайсинг) фрагментов, комплементарных этой матрице, в единую цепь. Именно таким способом, а не катализируемой полимеризацией мононуклеотидов, могло осуществляться первичные копирование (размножение) РНК. Разумеется, если появлялись рибозимы, обладавшие полимеразной активностью [20], то эффективность (точность, скорость и продуктивность) копирования на комплементарной. матрице должна была значительно возрастать.

Рис. 7. Схема эволюции и специализации молекул РНК
в процессе перехода от древнего мира РНК к современному миру
генетически детерминированного биосинтеза белков

Второй принципиальный момент в моей версии состоит в том, что первичный аппарат биосинтеза белка возник на базе нескольких видов специализированных РНК до появления аппарата энзиматической (полимеразной) репликации генетического материала - РНК и ДНК. Этот первичный аппарат включал каталитически активную прорибосомную РНК, обладавшую пептидил-трансферазной активностью; набор про-тРНК, специфически связывающих аминокислоты или короткие пептиды; другую прорибосомную РНК, способную взаимодействовать одновременно с каталитической прорибосомной РНК, про-мРНК и про-тРНК (см. рис. 7). Такая система уже могла синтезировать полипептидные цепи за счет катализируемой ею реакции транспептидации. Среди прочих каталитически активных белков - первичных ферментов (энзимов) - появились и белки, катализирующие полимеризацию нуклеотидов - репликазы, или НК-полимеразы.

Впрочем, возможно, что гипотеза о древнем мире РНК как предшественнике современного живого мира так и не сможет получить достаточного обоснования для преодоления основной трудности - научно правдоподобного описания механизма перехода от РНК и ее репликации к биосинтезу белка. Имеется привлекательная и детально продуманная альтернативная гипотеза А.Д. Альтштейна (Институт биологии гена РАН), в которой постулируется, что репликация генетического материала и его трансляция - синтез белка - возникали и эволюционировали одновременно и сопряженно, начиная с взаимодействия абиогенно синтезирующихся олигонуклеотидов и аминоацил-нуклеотидилатов - смешанных ангидридов аминокислот и нуклеотидов [22]. Но это уже следующая сказка... ("И Шахразаду застигло утро, и она прекратила дозволенные речи".)

Литература

1. Watson J.D., Crick F.H.C. Molecular structure of nucleic acids // Nature. 1953. V. 171. P. 738-740.

2. Watson J.D., Crick F.H.C. Genetic implications of the structure of deoxyribose nucleic acid // Nature 1953 V. 171. P. 964-967.

3. Спирин А.С. Современная биология и биологическая безопасность // Вестник РАН. 1997. № 7.

4. Spirin A.S. On macromolecular structure of native high-polymer ribonucleic acid in solution // Journal of Molecular Biology. 1960. V. 2. P. 436-446.

5. Kirn S.H., Suddath F.L., Quigley GJ. et al. Three-dimensional tertiary structure of yeast phenylalanine transfer RNA // Science. 1974. V. 185. P. 435-40.

6. Robertas J.D., Ladner J.E., Finch J.T. et al. Structure of yeast phenylalanine tRNA at 3 A resolution // Nature. 1974. V. 250. P. 546-551.

7. Vasiliev V.D., Serdyuk I.N., Gudkov A.T., SPIRin A.S. Self-organization of ribosomal RNA // Sturcture, Function and Genetics of Ribosomes / Eds. Hardesty B. and Kramer G. New York: Springer-Verlag, 1986. P. 129-142.

8. Baserga SJ., Steitz J.A. The diverse world of small ribo-nucleoproteins // The RNA World / Eds. Gesteland R.F. and Atkins J.F. New York: Cold Spring Harbor Laboratory Press, Cold Spring Harbor, 1993. P. 359-381.

9. Kruger К., Grabowski PJ., Zaug AJ. et al. Self-splicing RNA: Autoexcision and autocyclization of the ribosomal RNA intervening sequence of Tetrahymena // Cell. 1982. V. 31. P. 147-157.

10. Guerrier-Takada С., Gardiner К., Marsh Т. et al. The RNA moiety of ribonucleases P is the catalytic subunit of the enzyme // Cell. 1983. V. 35. P. 849-857.

11. Опарин А.И. Происхождение жизни. М.: Московский рабочий, 1924.

12. Опарин А.И. Возникновение жизни на Земле (3-е изд.). М.: Изд-во АН СССР, 1957.

13. Woese С. The evolution of the genetic code // The Genetic Code. New York: Harper & Row, 1967. P. 179-195.

14. Crick F.H.C. The origin of the genetic code // Journal of Molecular Biology. 1968. V. 38. P. 367-379.

15. Orgel L.E. Evolution of the genetic apparatus // Journal of Molecular Biology. 1968. V. 38. P. 381-393.

16. Gilbert W. The RNA world // Nature. 1986. V 319 P. 618.

17. Joyce G.F., Orgel L.E. Prospects for understanding the origin of the RNA world // The RNA World / Eds. Gesteland R.F. and Atkins J.F. New York: Cold Spring Harbor Laboratory Press, Cold Spring Harbor, 1993 P 1-25.

18. Chetverina H.V., Demidenko A.A., Ugarov V.I., Chetverin A.B. Spontaneous rearrangements in RNA sequences // FEBS Letters. 1999. V. 450. P. 89-94.

19. Bartel D.P., Szostak J.W. Isolation of new ribozymes from a large pool of random sequences // Science. 1993. V. 261. P. 1411-1418.

20. Ekland E.H., Bartel D.P. RNA-catalysed RNA polymerization using nucleoside triphosphates // Nature. 1996 V. 382. P. 373-376.

21. Orgel L.E. The origin of life - a review of facts and speculations //Trends in Biochemical Sciences. 1998. V. 23. p. 491-495.

22. Альтштейн А.Д. Происхождение генетической системы: гипотеза прогенов // Молекулярная биология. 1987. Т. 21. С. 309-322.


 



VIVOS VOCO!
Июнь 2001