№4, 2000 г.
© Сурдин В.Г.

НАБЛЮДЕНИЕ СОЛНЕЧНЫХ ПЯТЕН
С КЛАССИЧЕСКОЙ КАМЕРОЙ-ОБСКУРОЙ

Сурдин В.Г.

Сурдин Владимир Георгиевич — кандидат физико-математических наук,
Государственный астрономический институт имени П. К. Штернберга
при Московском Государственном университете имени М. В. Ломоносова.
119899, Москва В-234, Университетский пр-т, 13

В истории оптики и астрономии традиционно считается очевидным, что до изобретения голландскими мастерами в 1608 г. зрительной трубы, усовершенствованной Галилеем в 1609 г., вообще не существовало приборов, способных усиливать угловую разрешающую способность человеческого глаза, равную, как известно, 1–2 минутам дуги. Действительно, только с появлением линзового телескопа Галилея в астрономии началась череда великих открытий: звезды Млечного Пути, лунные горы, солнечные пятна, фазы Венеры, спутники Юпитера... Это закономерно, поскольку только линзовая или зеркально-линзовая оптика позволяет увеличить угловой размер слабых астрономических объектов, оставляя протяженные объекты по яркости доступными глазу или даже демонстрируя ранее недоступные “точечные” объекты [1].

Однако из этого в целом справедливого утверждения есть одно исключение: речь идет о наблюдении Солнца, имеющего колоссальную поверхностную яркость и потому доступного, как будет показано ниже, весьма детальному исследованию при помощи классической (“дырочной”) камеры-обскуры. В частности, это нехитрое, хотя и громоздкое приспособление позволяет наблюдать солнечные пятна. Для историков науки этот факт должен выглядеть парадоксальным: технология изготовления камеры-обскуры была известна с древнейших времен, почему же наблюдения солнечных пятен начались только в эпоху Галилея? Этот парадокс усиливается еще и тем, что гигантские камеры-обскуры, как мы обнаружили, непреднамеренно сооружались уже в средние века в виде готических соборов, и в них практически ежедневно можно было наблюдать поверхность Солнца еще в XII–XV вв.! Это без труда удается делать и по сей день. Вопрос, который пока остается без ответа, — воспользовались этой возможностью ученые средневековья или нет?


Что такое камера-обскура?

К сожалению, в русском языке под термином “камера-обскура” объединились два разных прибора: 1) классическая “темная коробка с маленьким отверстием”, играющим роль примитивного объектива, и 2) проекционная линзовая камера, прототип фотокамеры. Такое смешение порой становится причиной казусных ситуаций в русскоязычной литературе, которых иногда удается избегать в английском языке, поскольку для классической безлинзовой камеры в нем применяется термин “pinhole camera”, а ее аналог с линзовым объективом обычно называют “camera obscura”. Историкам науки желательно иметь это в виду.

Как известно, классическая камера-обскура не находила широкого применения из-за того, что в ней не удается совместить высокую резкость изображения с его достаточной освещенностью. Это стало возможным лишь с появлением качественных линз. К середине XVI в. камеру-обскуру оснастили линзовым объективом и зеркалом [2, с. 60; 3], в результате чего изображение в ней стало ярким и прямым и она приобрела большую популярность. С того времени классическая камера-обскура с дырочным объективом стала чисто дидактическим прибором и служила для иллюстрации проективных методов, причем в большинстве случаев как умозрительный, теоретический прибор, а не реальное изделие.

Только с учетом указанного выше терминологического обстоятельства становятся понятными некоторые утверждения, касающиеся истории оптики, например, что “для первых опытов по фотографии в 1820-х и 1830-х гг. использовали камеры-обскуры” [4]. Действительно, попытка отождествить названный прибор с классической камерой-обскурой вызывает лишь недоумение: при известных качестве изображения и чувствительности фотопластинок тех лет расчет необходимой экспозиции дает фантастические значения. Совершенно очевидно, что в первых опытах по фотографии использовали линзовые камеры.

В связи с астрономическим применением камеры-обскуры известны два редко упоминаемых факта. Во-первых, Кеплер опубликовал в 1609 г. сообщение о наблюдении 18 мая 1607 г. на изображении солнечного диска в камере-обскуре маленького темного пятна, принятого им по ошибке за Меркурий [5, с. 271]. Во-вторых, восточно-фрисландский астроном Йоханнес Фабрициус (1587–1616), открывший в 1611 г. независимо от Галилея пятна на Солнце, применял для своих наблюдений “телескоп и камеру-обскуру” [6]. Совершенно очевидно (наша уверенность основана на описанных ниже экспериментах и расчетах), что в обоих случаях были использованы линзовые камеры, которые по аналогии с астрографом следовало бы называть астроскопом.

Не будем обсуждать здесь имеющиеся в исторических хрониках сообщения о случайных наблюдениях темных пятен на Солнце невооруженным глазом сквозь облака, дым или большую толщу атмосферы близ горизонта. Эти редчайшие наблюдения, вероятно, имевшие место в действительности, были неубедительными, поскольку не могли носить систематического характера и, следовательно, служить научным материалом. Обычно они интерпретировались их авторами как результат прохождения Венеры или Меркурия по диску Солнца, хотя в действительности не совпадали с этими событиями и, вероятно, были связаны с появлением гигантских солнечных пятен ([7, с. 49–59], цит. по [8]). Сейчас никто не станет оспаривать тот факт, что действительное, научное открытие солнечных пятен состоялось лишь в начале XVII в.

Мой интерес к этой проблеме возник в начале 1998 г. Редактируя статьи по истории астрономии и обнаружив в них указанную выше путаницу, связанную с эволюцией камеры-обскуры, я задался вопросом: а существовала ли возможность строить астрономические инструменты, усиливающие разрешающую способность глаза и, в частности, позволяющие регулярно наблюдать солнечные пятна до появления качественной линзовой оптики, т. е. до середины XVI столетия?

Для наблюдения рядовых солнечных пятен от оптического инструмента, вообще говоря, не требуется большого увеличения. Те гигантские группы солнечных пятен, которые в XX в. несколько раз удавалось заметить невооруженным глазом сквозь плотный светофильтр, имели угловой размер 3–4ў, а рядовое солнечное пятно имеет угловой размер около 0,3ў. Поэтому, скажем, 20-кратного увеличения должно быть достаточно для уверенного наблюдения пятен. Способна ли на это камера-обскура?


Эксперименты с оптимальной камерой-обскурой

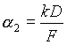
Для выяснения возможностей классической камеры-обскуры я рассчитал ее оптимальные характеристики. С одной стороны, дифракция света на входном отверстии диаметра D ограничивает разрешающую способность камеры согласно критерию Рэлея углом :

где l — длина световой волны [9, c 144]. С другой стороны, в приближении геометрической оптики разрешающая способность камеры ограничена диаметром ее входного отверстия. Если расстояние от дырочного объектива до проекционного экрана равно F, то предельный угол разрешения камеры составит

где константа 0 < k < 1 должна быть определена экспериментально. Ее точное значение зависит от контраста деталей исходного объекта, от яркости его изображения и даже от геометрии характерных деталей этого изображения [10]. Экспериментируя с лабораторной камерой-обскурой, мы выяснили [11, с. 12], что для высококонтрастных объектов, подобных солнечным пятнам, можно принять k » 1/4. Считая, что оба указанных эффекта — геометрический размер пучка и дифракция — действуют независимо, можно принять полный предельный угол разрешения камеры равным a = a1 + a2.

Мы поверили зависимость в лабораторных условиях, изготовив на основе зеркальной фотокамеры камеру-обскуру со сменными объективами-отверстиями различного диаметра [11, с. 12]. Фотографирование контрастной миры доказало справедливость полученной выше формулы для и позволило найти коэффициент k.
 

Рис.1. Предельный угол разрешения (a) камеры-обскуры
в зависимости от диаметра ее отверстия (D)
для F = 10 метров и l = 5500 ангстремов.
Пунктирными линиями показаны значения a1 и a2.

На рисунке 1 показано для примера, как изменяются значения в зависимости от диаметра входного отверстия для визуальной камеры длиной F = 20 м. Как видим, существует оптимальный диаметр отверстия Dоpt,

,
при котором достигается наилучшая разрешающая способность камеры данного размера F ; ее характеризует минимальное значение угла разрешения amin:
Приняв для визуальных наблюдений l = 5500 ангстремов, получим удобные формулы для оценки возможностей оптимальной камеры-обскуры:

и .

Как видим, при оптимальном выборе диаметра входного отверстия камера-обскура длиной 20–30 м должна показать хорошо развитые солнечные пятна диаметром около 30ўў, а с камерой длиной порядка 100 м можно систематически наблюдать даже весьма мелкие пятна. Впрочем, даже теоретические возможности классической камеры-обскуры ограничены чувствительностью нашего зрения: поскольку яркость изображения уменьшается пропорционально

(Dopt)2 / F2 ~ 1/F,

то размер камеры, а значит, и ее разрешающая способность имеют свой предел. Его теоретическое значение нетрудно найти. Как известно [12], в ясный день освещенность от прямых лучей Солнца составляет 105 люксов. При угловом диаметре Солнца 32ў освещенность (I) изображения в камере составит

Адаптированный к полной темноте глаз человека способен различать контрастные изображения при освещенности, создаваемой полной Луной (0,25 лк). Следовательно, размер идеальной классической камеры-обскуры ограничен длиной Fmax  » 10 км при диаметре входного отверстия Dоpt »16 см, диаметре изображения Солнца около 100 м и качестве изображения . Хотя создание такой камеры на Земле выглядит утопией, само по себе любопытно, что качество ее изображения оказывается согласованным с величиной дневного атмосферного размытия изображений на большинстве обсерваторий. Впрочем, не исключено, что эксперимент такого масштаба когда-нибудь будет поставлен, например, с использованием оптических труб лазерных интерферометров гравитационно-волновых антенн (длина которых, например у антенны LIGO, достигает 4 км).
 

Рис.2. Схема камеры-обскуры внутри
вертикального солнечного телескопа ГАИШ.

Для проверки сделанных выше выкладок я поставил значительно менее масштабный эксперимент в Государственном астрономическом институте им. П.К.Штернберга (МГУ) при любезном содействии сотрудника отдела исследования Солнца И. Ф. Никулина. В здании ГАИШ находится вертикальный солнечный телескоп, широкая труба которого длиной 18 м пронизывает здание института от крыши до подвала (рис. 2).

Над верхней частью трубы расположен целостат из двух плоских зеркал, не вносящий искажений в чистоту эксперимента, но существенно облегчающий его. В наглухо закрытом верхнем проеме трубы было оставлено круглое отверстие диаметром 6 мм, а внизу, непосредственно над зеркальным объективом солнечного телескопа, на расстоянии около 17 м от входного отверстия мы разместили белый экран. Подчеркну еще раз, что никаких оптических элементов между входным отверстием и экраном камеры не было [13, с. 30; 14, с. 40].

Первое наблюдение состоялось 19 мая 1998 г. На экране мы увидели яркое изображение Солнца диаметром 16 см с хорошо различимой группой из двух пятен. Было очевидно, что размер пятен меньше разрешающей способности камеры: контраст изображения был невелик, и никакой внутренней структуры в пятнах не было заметно. В последующие дни мы уверенно наблюдали появление и гибель пятен, их перемещение по диску Солнца.

Для чистоты эксперимента все эти дни я не наблюдал поверхность Солнца с помощью традиционных приборов, а лишь зарисовывал его изображение в камере-обскуре. Затем из нескольких обсерваторий через Интернет были получены фотографии Солнца в белом свете и сравнены с нашими зарисовками. Результаты оказались весьма впечатляющими.

Например, в день нашего первого наблюдения, 19 мая 1998 г., на поверхности Солнца действительно была группа из двух пятен диаметрами 15ўў и 17ўў, разделенных расстоянием в 1ў, а также несколько маленьких пятен размерами 3–5ўў, которых с помощью камеры-обскуры мы не заметили. Учитывая, что теоретическое разрешение нашей камеры около 40ўў, можно считать такой результат весьма удовлетворительным.

Сделать прямую фотографию изображения солнечного диска диаметром 16 см, к сожалению, я не смог (жаль было тратить время на изготовление крупноформатной камеры и затвора на входное отверстие). Поэтому фотокамерой “Зенит” были сделаны снимки полного изображения Солнца с проекционного экрана, а также прямые снимки отдельных солнечных пятен фотокамерой без объектива, помещенной на проекционном экране. Учитывая особенности полиграфического процесса, я не привожу эти фотографии в данной статье, чтобы не искажать представление о реальном качестве изображений (желающие могут познакомиться с ними и деталями нашей камеры-обскуры в ГАИШ МГУ). Для сравнения качества увиденных нами изображений на рисунке 3 приведена фотография Солнца в белом свете, полученная 2 июня 1998 г. в обсерватории Big Bear (США), а на рис. 4 — это же изображение, размытое численным методом до такого состояния, каким оно субъективно представлялось нам при наблюдении в тот же день на экране камеры-обскуры.

Sun 2.06.1998

Рис.3


Sun SAI-obscur 2.06.1998

Рис.4

Итак, вопрос о принципиальной возможности наблюдения солнечных пятен при помощи классической камеры-обскуры решен положительно. Очевидно, что при сравнительно небольшом размере нашей экспериментальной камеры это удалось сделать лишь благодаря оптимальному выбору диаметра входного отверстия. Для современной науки этот результат никакого интереса не представляет. Качество изображений солнечных пятен, даваемых линзовыми и зеркальными объективами XX столетия, недосягаемо для камеры-обскуры (рис. 5).

Sunspot

Но перед историей астрономии наш эксперимент ставит несколько вопросов:

1) Предпринимались ли попытки сооружения гигантских камер-обскур до изобретения телескопа?

2) Возможны ли ситуации непреднамеренного сооружения таких приборов?

3) Зафиксированы ли факты наблюдения солнечных пятен с помощью случайных камер-обскур?

Описывая в начале июня 1998 г. свои результаты, я сделал такое замечание: “Возможность эксперимента с гигантской обскурой дают крупные архитектурные сооружения — средневековые готические соборы или даже античные купольные сооружения, подобные римскому Пантеону” [14 c. 40]. Тогда я не ожидал, что очень скоро мне представится случай подтвердить это предположение.


Наблюдение солнечных пятен в испанских соборах

В июле 1998 г. я путешествовал по Испании. В г. Толедо около полудня 6 июля я зашел в готический кафедральный собор и принялся изучать световые узоры на полу. Интерьер собора был довольно темным, лишь несколько витражей освещали его рассеянным светом. Весьма скоро я обнаружил на полу несколько изображений Солнца, обязанных своим появлением, как это ясно было видно по направлению лучей, щелям между отдельными стеклами витражей, расположенных на южном фасаде высоко под сводом собора (рис. 6).

Gothic Cath.

Рис. 6. Схема условного готического собора, обладающего эффектом камеры-обскуры.

Отмечу еще раз, что старые витражи из толстого цветного стекла весьма эффективно поглощают и рассеивают солнечный свет, так что несмотря на “светящиеся окна”, в соборе всегда сумрачно. Обнаруженные мной проекции Солнца имели диаметры от 17 до 30 см в зависимости от высоты витража над полом. Не все изображения были высокого качества: наиболее яркие оказались сильно размытыми — очевидно, их породили крупные отверстия, имевшие диаметры намного больше оптимального. Но изображения невысокой поверхностной яркости оказались довольно резкими; на них я легко различил два крупных солнечных пятна, однако, к стыду своему, не смог их зарисовать из-за отсутствия бумаги. Выйдя в поисках бумаги из собора на улицу, я уже не смог попасть обратно, поскольку собор закрыли на время сиесты.

К счастью, через день, 8 июля, мне вторично представилась возможность наблюдать эффект камеры-обскуры в кафедральном соборе г. Севильи. На фото (рис. 7) видно, что на полу собора рядом расположились два изображения Солнца одинакового размера — яркое справа и тусклое левее, каждое диаметром 27 см. Края яркого изображения были сильно размыты, и никакой внутренней структуры (кроме слабого потемнения к краю) оно не имело. Слабое изображение оказалось намного более резким: на нем прекрасно были видны солнечные пятна.

Сурдин В.Г.

Рис. 7. Сурдин В.Г. в кафедральном соборе г. Севильи (Испания) у проекций солнечного диска.

Именно на нем я зарисовал те же два пятна, которые видел 6 июля в соборе Толедо; пятна за прошедшие двое суток заметно сместились (рис. 8). Вернувшись в Москву, я нашел через Интернет фотографии Солнца за 6 и 8 июля 1998 г. (рис. 9) и убедился в их полном соответствии с увиденными мной изображениями в соборах Испании [15, с. 4; 16, с. 65].
 

Sun picture 8 июля 1998

Рис. 8. Рисунок поверхности Солнца,
сделанный в кафедральном соборе
г. Севильи 8 июля 1998 г.

 
 

Sun 8 июля 1998

Рис. 9. Фотография Солнца,
полученная 8 июля 1998 г.
на телескопе MWLT
(Mees Solar Observatory,
University of Hawaii).


Заключение

Итак, теперь нет сомнений, что задолго до появления телескопа у наблюдательных естествоиспытателей была возможность заметить детали солнечной поверхности и регулярно следить за их перемещением, вызванным вращением Солнца. Разумеется, такую возможность до изобретения телескопа давал не только случайный эффект гигантской камеры-обскуры, но и наблюдение Солнца сквозь естественные светофильтры [7], позволяющее выявлять уникально крупные солнечные пятна. Но появление таких пятен — большая редкость даже в годы максимальной солнечной активности. В то же время гигантская камера-обскура, случайно возникающая, например, в готическом соборе, позволяет систематически наблюдать обычные крупные пятна.

Готические соборы Толедо и Севильи сооружены в XIII–XV вв. Это действительно очень большие, но отнюдь не уникальные здания: подобные есть в Милане, Кёльне и десятках других городов Европы. Сейчас уже трудно установить, в каких из них существовала ситуация камеры-обскуры: в годы второй мировой войны в результате бомбардировок многие соборы лишились остекления и теперь, после реставрации, имеют новые, непроницаемые для прямых солнечных лучей окна (именно это я с сожалением обнаружил в 2000 г. в Германии). Однако уверен, что во многих соборах, особенно на юге Европы, существует сейчас и, вероятно, существовала с момента их создания ситуация непреднамеренной камеры-обскуры. Но проводились ли подобные наблюдения до XVII в. и остался ли их след в истории астрономии, мне неизвестно. Во всяком случае, в общедоступных источниках я никаких упоминаний об этом не встретил.

Вспомним, что обнаружение солнечных пятен имело очень большое мировоззренческое значение. Наблюдения Солнца в конце 1610 г. помогли Галилею в опровержении взглядов Аристотеля и косвенно поддержали теорию Коперника. С помощью телескопа и аккуратно выполненных рисунков он смог проследить перемещение пятен по диску Солнца и доказать, что они находятся либо на солнечной поверхности, либо очень близко к ней. Одинаковое время (около 14 суток), за которое пятна пересекают солнечный диск по параллельным траекториям, указывало, что эти пятна находятся на сферической поверхности самого Солнца. Их движение говорило, что Солнце вращается так же, как вся остальная Солнечная система Коперника, отвергая этим возражения против вращения и общей подвижности Земли.

Вероятно, Галилей не первый наблюдал эти пятна, хотя сам он неистово отстаивал свой приоритет. Другие астрономы, например Кристоф Шейнер (1573–1650) из Ингольштадта (Бавария), независимо обнаружили их и даже имели собственные представления об их природе (Шейнер считал их маленькими планетами внутри орбиты Меркурия). В “Письмах о солнечных пятнах” (“Istoria e demostrazioni intorno alle macchie solari e loro accidenti”, 1613) Галилей защищал свой приоритет “убедительно, хотя и не очень вежливо” [17]. Даже если предшественники Галилея не оставили указаний об эффекте камеры-обскуры в готических соборах, мне кажется, сам Галилей в молодости не мог пройти мимо этого явления. Известно, что во время церковной службы он изучал колебания люстр, используя свой пульс как часы. Подобный склад ума не мог позволить ему самому и не менее любознательным его предшественникам пройти мимо изображений Солнца на церковном полу. Поэтому я надеюсь, что обнаружение исторических документов, описывающих подобные наблюдения, — это лишь вопрос времени.

Мои предшествующие публикации на эту тему уже вызвали интерес любителей истории астрономии [18, с. 4]. Хочу надеяться, что и профессиональные историки естествознания обратят внимание на любопытную возможность систематического наблюдения за солнечными пятнами без использования оптических приборов и определят, была ли эта возможность упущена или использована нашими далекими предшественниками. При этом следует иметь в виду, что маленькое плоское зеркальце, способное одновременно играть роль целостата и диафрагмы, позволяет устроить гигантскую камеру-обскуру в узких неподвижных помещениях: пещерах, коридорах культовых и погребальных сооружений и т. п. [13, с. 30; 19, с. 40].

Вообще же классическая камера-обскура с дырочным объективом еще не исчерпала своих возможностей. В ее истории уже в нашу эпоху были периоды ренессанса. Например, появление чувствительных фотопленок при довольно высокой стоимости фотокамер в СССР вызвало у юных фотолюбителей середины 1960-х гг. интерес к изготовлению компактных фотокамер-обскур. Их конструкция описывалась в журнале “Юный техник”, но, насколько я помню, диаметр объектива подбирался опытным путем без каких-либо теоретических соображений.

Наука также прибегала к классической камере-обскуре в эпоху становления внеатмосферной астрономии: поскольку для жестких рентгеновских лучей фокусирующих объективов не существует, а кодированные маски тогда еще не были изобретены, астрономы строили солнечные рентгеновские телескопы в виде свинцовой обскуры. Не исключено, что и в будущем принцип классической камеры-обскуры будет использоваться не только в дидактических целях.

Я глубоко признателен М. А. Карташеву и И. Ф. Никулину, оказавшим мне помощь в описанных выше экспериментах. Хочу также с благодарностью отметить работу сотрудников солнечных обсерваторий Big Bear (шт. Нью Джерси, США) и Mees Solar Observatory (Гавайи), которые сделали доступными через Интернет ежедневные изображения солнечной фотосферы в белом свете. Я также искренне признателен рецензенту этой статьи Г. Е. Куртику, обратившему мое внимание на работу Б. Голдстейна [16].


Литература

1. Щеглов П. В. Проблемы оптической астрономии. М., 1980.

2. Льоцци М. История физики. М., 1970.

3. Porta, Giambattista della // Encyclopaedia Britannica. 1997.

4. Newhall B., Gernsheim H. E. R. Photography: the history of photography // Encyclopaedia Britannica. 1997.

5. Еремеева А. И. Памятные даты истории астрономии в 1987 году // Астрономический календарь на 1987 г. М., 1986.

6. Fabricius, Johannes // Encyclopaedia Britannica. 1997.

7. Goldstein B. R. Some medieval reports of Venus and Mercury transits // Centaurus 14. Copenhagen, 1969. P. 49–59.

8. Goldstein B. R. Theory and observations in ancient and medieval astronomy. London: Variorum Reprints, 1985.

9. Шустер А. Введение в теоретическую оптику. Л. -М., 1935.

10. Роуз А. Зрение человека и электронное зрение. М., 1977.

11. Сурдин В. Г., Карташев М. А. Камера-обскура // Квант. 1999. № 2.

12. Куликовский П. Г. Справочник любителя астрономии. М., 1971.

13. Сурдин В. Г. Камера-обскура: упущенная возможность древних астрономов? // Звездочет. 1998. № 10.

14. Сурдин В. Г. Солнечные пятна и камера-обскура // Земля и Вселенная. 1999. №1.

15. Сурдин В. Г. Готический храм — солнечная обсерватория // Звездочет. 1999. № 1.

16. Сурдин В. Г. Готический храм как солнечная обсерватория // Земля и Вселенная. 1999. № 5.

17. Astronomy and astrophysics // Collier’s Encyclopedia. 1997.

18. Подковырина О. Н. Наблюдения солнечных пятен в древнем Китае // Звездочет. 1999. № 56.

19. Гребенников В. С. Телескоп с... плоским зеркалом // Звездочет. 2000. № 4.
 




Декабрь 2000