№12, 2006 г.


© Голубовский М.Д., Вайсман Н.Я.

Гены рака, стресс и долголетие:
гармонический антагонизм

М.Д. Голубовский, Н.Я. Вайсман

Михаил Давидович Голубовский, д.б.н., в.н.с. СПб-филиала Ин-та истории естествознания и техники им.С.И.Вавилова РАН.
Наталья Яковлевна Вайсман, к.б.н., с.н.с. лаб. генетики популяций Ин-та цитологии и генетики СО РАН.

В предыдущей статье * рассказана история открытия и исследований опухолевого супрессора lgl (lethal giant larvae - летальные гигантские личинки). У дрозофилы впервые среди животных был открыт ген, мутации в котором приводят к опухолям, а в норме он подавляет их развитие. Ниже речь пойдет о парадоксах поведения этого гена в природных популяциях.

* Голубовский М.Д., Вайсман Н.Я. Парадоксы генов рака у дрозофилы // Природа. 2006. №11. С.3-10.
Спонтанный мутагенез - процесс непрерывный. Летали возникают в сотнях локусов и, будучи рецессивными, сохраняются в гетерозиготах под покровом их нормальных вариантов. Так накапливается генетический груз, который достаточно велик. В геноме дрозофилы Drosophila melanogaster около 13 тыс. генов, которые распределены в основном по трем хромосомам: в Х-хромосоме и аутосомах 2 и 3. Все они способны при своих изменениях приводить к летальности. В 1927 г. будущий нобелевский лауреат Дж.Меллер создал метод количественного учета леталей и их поддержания в гетерозиготном состоянии: летали регистрировались с помощью специальных маркеров. Меллер сразу показал прямую зависимость частоты возникающих леталей от дозы облучения и по существу создал целую область в генетике - изучение мутагенеза, а его метод стал одним из первых достижений хромосомной инженерии.

Еще в 30-е годы методом Меллера выяснили, что при переводе в гомозиготу любой пары аутосом из природных популяций не менее 15-20% из них несут леталь в каком-либо из генов. Поддерживая такие “летальные хромосомы” с помощью особых маркерных линий и проводя затем попарные (диаллельные) скрещивания, можно установить, в каких генах возникли летали, повторяются ли они в разных популяциях и в разные годы. Если, к примеру, из разных поселений дрозофил выделено 200 хромосом с леталями, то для установления их аллелизма требуется провести 1/2·(200ґ199), или около 20 тыс. попарных скрещиваний. Изрядно, но игра стоит свеч. Она позволяет проследить за изменениями генофонда во времени и пространстве, оценить, какую роль играют мутационный процесс, отбор, изоляция. К примеру, насколько различны генофонды удаленных поселений или как меняется генный состав леталей в одной и той же популяции.

Мутации онкосупрессора lgl в природе

У дрозофил генофонд леталей находится в квазистационарном состоянии. В той или иной популяции общее количество леталей сохраняется во времени относительно постоянным (в среднем 15-20%, иногда 30%), но их аллельный состав непрерывно обновляется. Изменения возникают то в одних, то в других генах, некоторое время они болтаются в популяциях и затем исчезают, сменяя друг друга. Однако, как мы установили, на фоне этого мутационного потока летальные аллели гена lgl регулярно встречались в географически удаленных поселениях дрозофил, включая Украину, Крым, Кавказ, Южный Урал, Среднюю Азию и вплоть до Дальнего Востока. В среднем каждая из 25-50 особей в природе несла леталь гена lgl в гетерозиготном состоянии.

Известный американский генетик М.Грин, решив проверить наши данные, не только нашел повышенную частоту lgl-мутаций в двух популяциях Калифорнии, но обнаружил особый доминантный ген-мутатор (фактор MR), вызывающий встраивание в район расположения гена lgl мобильных элементов, при вырезании которых возникают делеции. Не имеем ли мы дело с любопытным эволюционным феноменом, когда мутации некоего гена, будучи селективны, поддерживают и свой “придворный” ген, поставляющий эти мутации в природу? Сей феномен называется “hitch hiking”, или путешествие автостопом.

В начале 1970-х годов Ксения Борисовна Соколова, работая тогда в Институте цитологии и генетики (Новосибирск), исследовала точное время гибели дрозофил с летальными мутациями lgl. Проверяя действие леталей lgl на выживаемость их носителей, она неожиданно обнаружила у гетерозигот (lgl/+) повышенную устойчивость к температурному стрессу. Анализ их чувствительности к температуре в ходе онтогенеза указывал на активность гена lgl на самых ранних этапах развития, задолго до гибели личинок. Этот вывод, основанный на генетических данных, полностью подтвердился затем прямыми молекулярными наблюдениями [1].
 

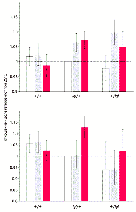
Влияние температуры на жизнеспособность гетерозигот в ранний период развития (вариант А): lgl558/+ (вверху) и lgl705/+ (внизу, p = 0.05). При оптимальной температуре выживаемость гетерозигот lgl/+ либо понижена, либо не отличается от особей с двумя нормальными дозами lgl (+/+); при стрессе (29°С и 16°С) она повышается на 10-15%. Эмбрионы в потомстве матерей-носителей lgl/+ выживают лучше, чем потомство отцов того же генотипа (+/lgl).

Пораженная этими популяционными данными, Э.Гатефф (первооткрывательница ракового гена) попросила прислать ей выделенные из природы аллели lgl для проверки их на онкогенность. В гомозиготе все они вызывали опухолевое разрастание имагинальных дисков и нейробластов личинок, различаясь по силе своего действия. Среди них была и полученная нами с помощью радиации нехватка (делеция) сегмента хромосомы, где локализован lgl и еще один соседний ген. В гомозиготе эта делеция тоже вызывала опухоли, не отличаясь от природных lgl-aллелей. Спустя годы стало ясно, что данное наблюдение было, возможно, первым свидетельством возникновения опухоли в результате утраты функции определенного гена [2].

Ген lgl, в придачу ко всем его генетическим прелестям, оказался локализован на самом конце левого плеча хромосомы 2, сразу после теломеры - особой структуры, которая “запечатывает” концы всех хромосом и обеспечивает их стабильность. Когда в 1985 г. молекулярные генетики из Швейцарии на основе нашей коллекции мутантов клонировали ген lgl, тут уже пришлось удивляться нам. Почти все аллели lgl были делециями всего или части гена, захватывая при этом и теломерный район [3].

Еще в 30-е годы классик цитогенетики Б.Мак-Клинток установила, что неприкосновенность теломеры столь же важна для целостности линейной хромосомы, как пробка для драгоценного вина в бутылке. А тут, пожалуйста, в популяциях запросто распространяются lgl-хромосомы с нехватками теломеры-“пробки”. Хотя в природе они существуют в гетерозиготе с нормальной хромосомой, все равно остается загадкой, почему же “вино не выливается”. Может быть, теломерный район в хромосомах с lgl-делециями все же закрыт каким-то временным белком-заглушкой? Природные мутанты lgl помогли установить некоторые важные свойства теломерного эффекта положения генов - гасить их активность при попадании в район теломер.

C позиций популяционной генетики распространение явно неадаптивных генно-хромосомных повреждений (нехватка онкосупрессора да еще и теломеры!) служит косвенным доводом в пользу действия некоего позитивного контрбаланса. Все найденные в природе lgl-аллели оказались по преимуществу делециями, а иногда вставкой мобильного элемента, с полной утратой функции гена. Как будто именно утрата одной дозы онкосупрессора может быть адаптивной для их носителей. Возникла задача всесторонне исследовать приспособленность гетерозигот lgl/+.
 

Возрастная динамика смертности гетерозигот первого поколения при различной температуре (p = 0.05): вверху - самцы, внизу - самки; lgl/+ - мутация, полученная от матери, +/lgl - от отца. Смертность особей lgl/+ при оптимуме содержания либо понижена, либо сходна с контролем. При стрессе в 29°С одна доза lgl повышает теплоустойчивость у своих гетерозиготных носителей. Наблюдается материнский эффект у потомков гетерозиготных по мутации матерей.

Одна доза онкосупрессора: хорошо или плохо?

Мы решили сравнить выживаемость в оптимальных и в стрессовых условиях мутантных гетерозигот lgl/+ с нормальными по данному гену особями. В ходе жизненного цикла оценивали два показателя: выживаемость в ранний период развития (от оплодотворения до появления на свет), а также после рождения и до окончания жизни, с учетом динамики старения и смертности. Исходя из молекулярных данных о ранней активности и материнском действии гена lgl в онтогенезе [3], во всех случаях изучали различия по выживаемости потомков, у которых носителем lgl-аллеля был материнский или отцовский родитель.

Стресс-фактором служила температура - повышенная (29°С) и пониженная (16°С) по сравнению с оптимумом для дрозофил (25°С). Как считал классик клеточной физиологии и цитоэкологии В.Я.Александров, именно она - самый важный в природе стрессовый фактор; по отношению к ней происходит видовая адаптация на белковом, клеточном и организменном уровнях. В ранний период развития (вариант А) относительную выживаемость носителей мутантного аллеля оценивали, скрещивая гетерозигот (lgl/+) с нормальными особями (+/+). В первом поколении (F1) среди потомков ожидается стандартное соотношение (50% норма и 50% lgl/+). Отклонение от стандарта в ту или иную сторону указывает на генотипические различия в выживаемости двух групп, поскольку по условиям опыта потомки выровнены по генетическому фону. Динамика смертности двух генотипов после рождения (вариант Б) оценивалась каждые три дня с переброской выживших дрозофил на свежий корм, вплоть до конца цикла жизни.

В варианте А при оптимальной температуре гетерозиготы lgl/+ имели либо пониженную выживаемость, либо не отличались от особей с двумя нормальными дозами lgl. При стрессе (29°С и 16°С) выживаемость гетерозигот lgl/+ на ранних стадиях повышалась на 10-15% по сравнению с их нормальными собратьями. Во всех случаях эмбрионы в потомстве матерей-носителей lgl/+ выживали лучше, чем потомство отцов того же генотипа.

Экспериментальная биодемография началась с анализа действия разных факторов на продолжительность жизни у дрозофил. Эти пионерные работы проводили в 1920-е годы американский генетик Р.Пирл и московский биолог В.В.Алпатов, который в лаборатории Пирла изучал влияние температуры на длительность жизни. Оказалось, что содержание дрозофил при повышенной температуре укорачивает жизнь мух. В 1929 г. Алпатов и Пирл выдвинули концепцию “скорости жизни” (rate-of-living): длительность жизни сокращается пропорционально ускорению метаболизма. В дальнейшем этот вывод подтвердили исследования в области генетики старения.

Наши опыты также продемонстрировали сильное стрессовое действие повышенной температуры на продолжительность жизни дрозофил. Забавно, что один день в жизни плодовой мушки примерно соответствует одному году в жизни человека и даже половые различия в длительности жизни сходны. При оптимальной температуре самки контрольной линии жили 84.7 дня, а самцы - 51.7 дня. При 29°С срок жизни сократился у разных полов до 43.7 и 29.6 дней, в полном соответствии с первыми наблюдениями Пирла и Алпатова. Напротив, понижение температуры среды до 16°С продлевало жизнь мух в два-три раза по сравнению с оптимумом.

Действие нехватки онкосупрессора у гетерозигот lgl/+ на их старение и длительность жизни в условиях стресса (вариант Б) было аналогично тому, что наблюдалось при анализе выживаемости в ранний период развития.

При оптимуме содержания особи lgl/+ имели либо пониженную, либо сходную с контролем динамику смертности. Однако при стрессе в 29°С одна доза lgl повышала теплоустойчивость у своих гетерозиготных носителей. Проявился и материнский эффект: носители lgl-леталей жили дольше, если мутантный аллель был у матери.

Любопытна возрастная динамика устойчивости к стрессу. В пору дрозофилиной юности и примерно до середины жизненного пути носители одной дозы lgl/+ отличались повышенной смертностью по сравнению с контролем (+/+). А вот когда дело пошло к старости, мутантные гетерозиготы умирали реже, чем их нормальные собратья. Как будто, достигая зрелости, они находили какие-то внутренние ресурсы бороться со стрессом. Это было заметно при оптимальной температуре и совсем четко проявилось при тепловом и холодовом стрессе.

Результаты опытов моделируют феномен, который в биологии старения называют “антагонистическая плейотропия”, - когда в начале развития какая-либо мутация или зависимый от генотипа признак действуют негативно, а к старости - позитивно (или наоборот). Этот феномен можно назвать и “онтогенетический контрбаланс”. Но мы будем использовать другой, более удачный термин, - гармонический антагонизм; его известный этолог К.Лоренц ввел для обозначения двойственности любых жизненных структур и процессов, контрбаланса между постоянством и приспособляемостью, жесткостью и динамичностью, клеткой и организмом, индивидом и обществом.

Хорошо известный пример гармонического антагонизма на уровнях организм-популяция - возможность для человека существовать в малярийных районах. В Африке, Средиземноморье и Юго-Восточной Азии устойчивостью к малярии обладают гетерозиготные носители летальных вариантов гемоглобина. Молекула гемоглобина включает комплекс из четырех белков-глобинов: две a- и две b-цепи, по 141 и 146 аминокислот соответственно. Гены a1 и a2 расположены рядышком в хромосоме 16, а ген b-глобина входит в группу глобиновых генов в хромосоме 11. В одних популяциях устойчивость к малярии обеспечивают точковые мутации в совершенно определенном положении b-цепи (серповидноклеточность и другие гемоглобинопатии). Но есть и другая стратегия устойчивости - распространение делеций либо a1, либо a2, либо обоих a-генов или же мутаций с полной утратой функции одного из них. Разные структурные или функциональные варианты a-гена могут встречаться в одной и той же популяции. Удивительна и легкость, с которой в природе обеспечивается решение “убрать ген”, если его отсутствие дает селективное преимущество.

Со сходной ситуацией столкнулись биодемографы, изучая в популяциях человека полиморфизм по генетическим факторам риска к разным патологиям, включая рак. Во-первых, у человека распространены мутации факторов риска, в гомозиготе летальные или вызывающие явные патологии. Во-вторых, выявились явные возрастные различия во встречаемости мутантов, причем у пожилых людей некоторые “плохие” аллели распространены чаще [4]. Так, ген глутатион-трансферазы (GSTM1), важный для обезвреживания ксенобиотиков, служит фактором риска при развитии рака легких и ряда хронических заболеваний (бронхиальной астмы, остеопороза, аномалий беременности). Однако делеции, приводящие к утрате функции этого гена (ноль-аллели), распространены в разных популяциях мира. Например, в Петербурге гомозиготы по делеции этого гена обнаружены с частотой около 40%. Гомозиготность по ноль-аллелю неблагоприятна для выживания примерно до 60 лет, но после этого возраста нехватка гена уже не сказывается на выживаемости [5].

Сходное поведение обнаружено и в случае полиморфизма по гену р53 - самого важного онкосупрессора у человека. В обычных условиях мыши и люди генотипа р53+/– (т.е. гетерозиготы по утрате функции гена) имеют высокую вероятность онкозаболеваний (синдром Ли-Фромени у человека). Вместе с тем в популяциях человека найден полиморфизм гена р53 - например, мутация в кодоне 72, когда в белке p53 аминокислота аргинин (Арг) заменена на пролин (Про), что отнюдь не безобидно. У носителей Про-аллеля снижена функция апоптоза и повышена чувствительность к раку. Но встречаемость этого “рискового” аллеля, по данным молекулярных эпидемиологов В.Н.Горбуновой и В.Х.Хавинсона, не только весьма высока, но заметно растет после 65 лет по сравнению с когортой лиц 45-60 лет [5]. Недавно геронтологи из Голландии сопоставили полиморфизм в кодоне 72 у лиц старше 85 лет с частотой их онкозаболеваний и долголетием. В этой почтенной когорте “рисковые” гомозиготы Про/Про в два раза чаще болели раком, зато их выживаемость в целом оказалась выше на 40%, чем у нормальных гомозигот Арг/Арг [6]. Иными словами, между опасностью заболеть раком и долголетием существует гармонический антагонизм. Это только один из парадоксов и сложных взаимосвязей между канцерогенезом и старением. Их концептуальному и экспериментальному анализу посвящены многолетние исследования онколога и геронтолога В.Н.Анисимова [7].

Л.Донховер, геронтолог из Техаса, в лаборатории которого четыре года назад впервые нашли и исследовали на мышах этот контрбаланс, предложил привлекательную модель. Она основана на допущении, что в норме ген р53, страж генома и негативный регулятор клеточного деления, ингибирует функцию самообновления стволовых клеток или уменьшает их число. Тогда рак возникает реже, зато ткани и органы хуже функционируют, быстрее старятся и атрофируются. И напротив - увеличение числа стволовых клеток при некоторых мутациях р53 повышает устойчивость к стрессу, самообновление органов и долголетие [8]. Боишься заболеть раком - быстрее состаришься, удастся преодолеть опасность - будешь жить дольше. Нелегкий выбор, словно у сказочного витязя, поневоле задумавшегося на распутье у камня судьбы.

Устойчивость к вирусу и генетическая онтология lgl

В природе каждый вид испытывает жесткое давление со стороны инфекционных организмов, в особенности вирусов. Вирусы не только мощный селективный фактор; они - особые мутагены, ибо вызывают генную и хромосомную нестабильность, активируя в геноме хозяина его мобильные элементы. Это было установлено на дрозофиле в работах классика генетики С.М.Гершензона и его коллег. Мобильные элементы, активированные в ходе конфликта вирус-клетка, встраиваются в разные локусы генома и повышают общую мутабильность.

Французский вирусолог и генетик Н.Плюс долгие годы изучала распространение в природных поселениях дрозофил разного рода вирусов и устойчивость к ним [9]. Она обнаружила зараженность популяций инфекционным и смертельным РНК-содержащим вирусом типа С. В нашем совместном опыте показано, что в линии, зараженной этим вирусом, летали появляются в два-три раза чаще по сравнению с незараженными собратьями. Когда Плюс узнала, что у дрозофил lgl-аллели - самые частые среди природных леталей хромосомы 2, она с энтузиазмом согласилась проверить, не связано ли lgl-носительство с устойчивостью к пикорнавирусу-С.

Была изучена устойчивость к вирусу у 15 lgl-мутантов, выделенных нами из разных евразийских популяций. Взрослые особи этих линий после введения суспензии вируса проявили большую устойчивость к вирусу, чем контрольные “дикие” мухи. При этом аллели различались по степени устойчивости, а некоторые из них обеспечивали гетерозиготам вполне надежную инфекционную защиту. Так, если через неделю после иньекции до 90% “диких” мух из контрольной популяции погибало, то гибель гетерозигот по аллелю lgl432 из популяции Еревана составляла всего 17-26%. [ 10]. Устойчивость к вирусу, как и к температурному стрессу, была выше в потомстве самок - lgl-мутантов. Если оба родителя несли мутацию lgl, то повышалась устойчивость всего потомства, указывая на материнский и цитоплазматический эффекты.

Эти данные, полученные в начале 1980-х годов, до поры до времени относились к разряду любопытных эмпирических наблюдений. Генетическая онтология онкосупрессора lgl еще не была разработана. С вирусами у дрозофилы никто, кроме французских исследователей, тогда не работал, да и мало кто ими интересовался. Но спустя 20 лет, в постгеномную эру, ситуация изменилась. Выяснилось, что сходные с С-вирусом дрозофилы РНК-содержащие однонитчатые вирусы вызывают ряд болезней у человека. Стало очевидно, что на дрозофиле можно моделировать первые этапы взаимодействия вирус-клетка, ибо системы мембранной рецепции у разных организмов похожи.

Эндоцитоз - основной механизм транспорта в клетку больших молекул. Сначала происходит рецепторное опознание нужного белка, затем впячивание участков мембраны, образование пузырьков-везикул, их слияние и последующее путешествие. Вирус ловко использует эту систему вхождения в клетку после обманного присоединения к клеточным рецепторам. Американские генетики из Гарварда использовали модель вируса-С дрозофилы для поиска генов, от которых зависит вхождение вируса в клетку. Из библиотеки генома выбрали мутации, нарушающие структуру белков везикул (клатрин) или белка синаптотагмин, вовлеченного в цикл эндо-экзоцитоза в нервной системе мух. Мутации этих генов обеспечивали гетерозиготам устойчивость к вирусу, снижая число активных везикул и тем самым уменьшая вероятность проникновения вируса в клетку. Если везикулы сравнить с автобусами, которые идут от окраины города к центру, то уменьшение их числа уменьшает и число лиц, попадающих в центр.

Авторы этой замечательной работы признаются, что для них было неожиданным возникновение устойчивости к вирусу за счет уменьшения дозы нормальных генов, вовлеченных в “машинерию эндоцитоза” [11]. Ведь эндоцитоз совершенно необходим для жизни клетки, недаром мутации, понижающие его эффективность, полулетальны или летальны в гомозиготе. Однако у гетерозигот утрата одной дозы этих генов не только совместима с жизнью, но и обеспечивает при вирусном заражении выживание организма. Вновь пример гармонического антагонизма.

Это исследование позволяет истолковать обнаруженную более 20 назад устойчивость к С-вирусу разных гетерозигот по утрате lgl-функции. Генетическая онтология lgl включает и функцию синаптических пузырьков в областях нейронных синапсов. Значит, возможное уменьшение числа активных везикул у lgl/+ особей способно привести к устойчивости по типу, найденному американскими генетиками. Из их работы вытекает любопытное прикладное следствие: вещества (лекарства), снижающие эндоцитоз, могут быть защитой от вирусных инфекций, ограничивая доступ вируса в клетку.

Различия в дозе гена у матерей

Итак, в разных опытах установили, что гетерозиготность матерей-носителей lgl-летали обеспечивает потомству защиту от стресса в отношении его выживаемости и длительности жизни. Возникает естественный вопрос: когда этот материнский эффект начинает действовать? С момента оплодотворения и начала развития поколения F1 или еще раньше, в ходе образования женских гамет (в оогенезе)?

Известно, что индивидуальное развитие организма начинается по существу не с момента оплодотворения яйцеклетки и образования зиготы, а включает в себя весь период оогенеза у матерей предшествующего поколения (выдающийся эмбриолог П.Г.Светлов назвал его проэмбрио). Здесь закладываются архитектурные контуры строения взрослого организма. Исследования по молекулярной генетике развития вновь оживили старые дискуссии о роли преформизма и эпигенеза в развитии. Был установлен феномен, названный известным генетиком и нейробиологом Л.И.Корочкиным молекулярным преформизмом.

В оогенезе участвуют сотни генов. Зрелая яйцеклетка дрозофилы имеет сложную внутреннюю организацию с двумя четкими полюсами. Начальные этапы развития зиготы и всего онтогенеза определяет полярность. В процессе созревания между яйцеклеткой и окружающими ее фолликулярными и питательными клетками происходят молекулярные и межклеточные взаимодействия. В яйцевых удлиненных камерах друг за другом, как на конвейере, передвигаются яйцеклетки в ходе “сборки”. Сначала в основании овариолы из популяции генеративных стволовых клеток селектируется клетка, которая делится асимметрично: одна остается в ранге стволовой, а другая вступает на путь дифференцировки и именуется цистобласт. Ей уготована участь через семь-восемь дней превратиться в зрелую яйцеклетку, которая выйдет на свидание со спермием. Цистобластом становится дочерняя клетка, в которую попадает особая цитоплазматическая сферическая органелла - спектросома. Она состоит из компонентов мембранного цитоскелета и управляет движениями нитей веретена в последующих делениях. Цистобласт продвигается вдоль яйцевой камеры, окружается фолликулярным монослоем, образуя 16-клеточный комплекс. Только одна из этих клеток, расположенная в особой нише в середине комплекса, становится ооцитом.

Серия последующей сборки яйцеклетки подразделена на 14 стадий, для каждой из которых имеется определенная сеть взаимодействующих материнских генов. 15 дочерних клеток цисты превращаются в питательные клетки, жертвуя собой ради созревания яйцеклетки-избранницы. Они исчезают уже на стадии 10. Заботу о поляризации яйцеклетки берут на себя окружающие ее фолликулярные клетки. Роль питающих и фолликулярных клеток в становлении яйцеклетки подобна роли рабочих пчел в пестовании и коронации одной из них в ранг царицы или матки. И это сравнение не только метафора! Один из фолликулярных белков, поставляемый для построения мембраны яйцеклетки, DAFC (Drosophila Amplicon in Follicle Cells), имеет молекулярное сходство с одним из белков медоносной пчелы Apis mellifera, который участвует в создании пчелы-царицы и носит пышное название - основной королевский белок (Major Royal Jelly Protein).

В цепь семи-восьмидневных событий оогенеза от деления исходной стволовой клетки до выхода зрелой яйцеклетки вовлечено множество материнских генов. Большинство из них не специфичны для оогенеза. Они активно функционируют на последующих стадиях развития и в других тканях. К таковым как раз и относится ген lgl. Его мутации нарушают полярность фолликулярных клеток и систему их взаимодействий с созревающей яйцеклеткой. В итоге возникает стерильность [12].

Девственные самки lgl/+ после теплового шока скрещивались с нормальными самцами. Затем от последовательных кладок яиц через каждые три дня получали потомство. Этот простой прием позволяет ретроспективно соотнести изучаемое потомство с разными стадиями формирования яйцеклеток. Когорта в кладках один-три и четыре-шесть дней после стресса на однодневных самок соответствует гаметам в ранге зрелых яйцеклеток или поздних этапов их формирования. Потомство, возникшее из кладок после седьмого-девятого дня от начала воздействия на их матерей, соответствует стадии цистобласта или прогениторным стволовым клеткам. Что же оказалось? Тепловой стресс на клетки ранних стадий оогенеза оказывал явное позитивное действие на эмбриональную выживаемость потомков. Воздействие на более поздних стадиях гаметогенеза тоже было заметно, но в меньшей степени. При этом эффект проявлялся лишь у матерей lgl/+, но не у контрольных самок +/+. Значит, дефицит дозы онкосупрессора у матерей защищает потомков от стресса и повышает их выживаемость.

Данный эффект можно отнести к области эпигенетических изменений. Какова генетическая семантика этих опытов применительно к человеку? У женщин клетки-оогонии, соответствующие цистобластам дрозофил, обособляются еще в утробе бабушек, в эмбриональный материнский период. Затем оогонии вступают на путь мейоза, который, однако, сразу после рождения девочек (будущих матерей) блокируется, и до 14 лет идет созревание ооцитов. Модельные опыты на дрозофиле демонстрируют, что условия, в которых проходит беременность у бабушек, способны влиять на выживаемость и долголетие внучатого поколения.

Влияние стресса на ранних стадиях оогенеза на эпигенетические наследственные изменения у дрозофилы (вверху) и человека. Предшественники женских зародышевых клеток дрозофилы (цистобласты) соответствуют у человека клеткам оогнониям, обосабливающимся в утробе бабушек. Тепловое воздействие на цистобласты дрозофил приводит к изменению эмбриональной выживаемости потомков. Данные опытов на дрозофиле позволяют предполагать, что условия, в которых проходит беременность у бабушек, способны влиять на выживаемость и долголетие внучатого поколения.
Гаплоадаптивность: парадокс или вариант жизненной стратегии?

Парадоксально, что две дозы гена, который в норме блокирует развитие опухоли, в условиях стресса становятся как бы избыточными. И преимущество получают носители одной дозы. Такого рода феномен мы предложили назвать гаплоадаптивностью [13 ].

Если с этих позиций взглянуть на другие известные в генетике развития факты, то окажется, что гаплоадаптивность вовсе не исключительна. Хорошо известный теперь феномен генного импринтинга у человека показывает: нормальное развитие возможно только в том случае, если активность определеных либо материнских, либо отцовских генов будет заблокирована.

В последние пять-семь лет у дрозофилы и у круглого червя Caenorhabditis elegans обнаружены гены, резко повышающие длительность жизни и устойчивость к стрессу. К примеру, найденный в 1998 г. в лаборатории С.Бензера (широко известны его работы в области генетики фага и термин “цистрон”) ген “Мафусаил” (Methuselah) назван по имени известного библейского героя-долгожителя. Но долгожители - это именно гетерозиготы по летальному аллелю этого гена mth/+, они живут дольше обычных нормальных мух на 30-35%.

У мышей выявлена обратная корреляция между опухолезащитной функцией главного стража генома р53 и его влиянием на продолжительность жизни. Избыточная активность гена р53 укорачивает жизнь взрослых животных, ускоряя их старение, а понижение его активности удлиняет жизненный цикл. Подобный результат недавно смоделирован на дрозофиле. Генно-инженерное введение в геном аллеля p53 с пониженной активностью в нейронах увеличивает продолжительность жизни самок на 58% и у самцов на 32%. У таких “долгожителей” повышается устойчивость и к генотоксичному стрессу - воздействию сильным мутагеном паракватом.

Другой удивительный пример гармонического антагонизма, сходный по смыслу с действием онкосупрессора lgl, наблюдается в контрбалансе функции р53 и уровня свободных радикалов-оксидантов. В высоких дозах свободные радикалы повреждают геном, но в умеренных необходимы для защитных реакций организма, таких как удаление раковых клеток, апоптоз, детоксикация, антимикробный фагоцитоз. Избыточный уровень антиоксидантов (их неумеренный прием) может опасно интерферировать с их защитными функциями. Эту балансовую концепцию, важную для теории и медицинских приложений, предложил и экспериментально обосновал новосибирский генетик Р.И.Салганик [14].

Установленный на дрозофиле феномен гармонического антагонизма эволюционно консервативного онкосупрессора lgl в его действии на разных уровнях (клетки, организм, популяции) поможет разобраться в парадоксах действия многих факторов генетического риска у человека. Мы еще не знаем, в чем состоит механизм контрбаланса между онкосупрессорным действием гена lgl и его позитивным влиянием на выживаемость и длительность жизни в условиях стресса. В 2006 г. было продемонстрировано, что в гомозиготе ген lgl блокирует в стволовых нервных клетках (нейробластах) дифференцировку [15]. Они только возобновляют себя, их популяция увеличивается, но в итоге вместо нервной ткани развивается нейробластома. А что если у гетерозигот популяция стволовых клеток слегка увеличена и это дает преимущество при стрессовых нагрузках и при старении? Такова одна из гипотез, она доступна проверке и нуждается в обосновании, но это - в будущем. Пока же можно утешиться парадоксом мудреца-биолога В.Я.Александрова: стимулирующее влияние хорошей гипотезы прямо пропорционально ее необоснованности.

Литература

1. Соколова К.Б., Голубовский М.Д. // Генетика. 1979. Т.15. №12. С.2175-2182.

2. Gateff E., Golubovsky M.D., Sokolova K.B. // Drosoph. Inf. Serv. 1977. V.52. P.58.

3. Mechler B.M., McGinnis W., Gering W. // EMBO J. 1985. V.4. P.1551-1557.

4. Баранов В.С, Баранова А.В., Иващенко Т.Э., Асеев М.В. Геном человека и гены предрасположенности. СПб., 2001.

5. Горбунова В.А., Стрекалов Д.Л., Хавинсон В.Х. // Медиц. Акад. Ж. 2003. Т.3. №1. С.66-76.

6. Анисимов В.Н. // Успехи геронтологии. 2002. Вып.10. С.99-125.

7. Heemst D.van et al. // Experim. Gerontology. 2005. V.40. P.7-9.

8. Donehower L. // Experim. Gerontology. 2005. V.40. P.7-9.

9. Плюс Н. Пикорнавирусы и реовирусы дрозофилы in vivo и in vitro // Энтомопатогенные вирусы и их практическое значение. Киев, 1983. С.3-12.

10. Plus N., Golubovsky M. // Genetika (Belgrade). 1980. V.12. P.227-231.

11. Cherry S., Perrimon N. // Nature Immunol. 2004. V.5. №1. P.81-87.

12. Lorenzo C.de, Strand D., Mechler B.M. // Int. J. Dev. Biol. 1999. V.434. P.207-217.

13. Вайсман Н.Я., Плюс Н., Голубовский М.Д. // ДАН. 2006. Т.406. №4. С.1-4.

14. Salganik R.I. // J. Amer. Col. Nutr. 2001. V.20. P.464-472.

15. Lee C.Y., Robinson K.J., Doe C.Q. // Nature. 2006. V.439. P.594-598.
 




Январь 2007