ПРИРОДА       № 9, 2000 г.


© Г.С. Ануфриев, Б.С. Болтенков

Космическая пыль в Океане

Г.С. Ануфриев, Б.С. Болтенков

Георгий Степанович Ануфриев, доктор физико-математических наук,
ведущий научный сотрудник лаборатории масс-спектрометрии
Физико-технического института им.А.Ф.Иоффе РАН (Санкт-Петербург).

Борис Семенович Болтенков, кандидат физико-математических наук,
старший научный сотрудник той же лаборатории.

Вклад космического материала в океанические осадочные породы подозревался давно. Многие морские геологи и геохимики до сего времени связывают некоторые стороны рудогенеза (например, накопление таких компонентов, как железо, никель, кобальт) со значительными поставками на дно океана космической пыли [1]. Поэтому вопрос о величине потока космического вещества на Землю не потерял своей актуальности. Мы попытаемся рассмотреть явление “космическая пыль в Океане” на изотопном уровне. Космическая пыль транспортирует солнечную “плазму” - поток, создающий неповторимую изотопную метку. В частности, космический (или солнечный) трассер дает возможность развить уникальный метод датирования осадочных пород, основанный на стабильных изотопах и позволяющий решать некоторые дискуссионные вопросы морской геохронологии (например, определение скорости роста и возраста железомарганцевых конкреций).

Мировой океан занимает около 71% земной поверхности. На его дне находятся разнообразные полезные ископаемые и протекает интенсивный рудогенез. Океанические осадки, сформировавшиеся поверх коренных пород, по сути дела - запись последних, по крайней мере 50 млн, лет развития Земли. Для того чтобы “прочитать” эту информацию, необходимы надежные методы определения возраста и скоростей роста океанических отложений. Данная геохронологическая задача нашла свое решение при помощи неравновесных методов ядерной геохронологии.

Исчезнувшее семейство

В составе океанической воды присутствует 2.5Ч10–9 г/л урана. При его распаде образуется семейство радиоактивных элементов 234U, 230Th, 226Ra и др. со своими периодами полураспада (Рис. 1). Согласно закону радиоактивного распада, нетрудно определить равновесные концентрации этих изотопов. Однако исследования показали, что в океанической воде содержится только несколько процентов от их ожидаемого количества. Урановое семейство исчезло. Вскоре его отыскали в океанических илах  [2],  причем дефицит в воде оказался в точности равен обнаруженному избытку в илах. Выяснилось, что радиоактивные изотопы уранового семейства прекрасно сорбируются океаническими взвесями и глинами. Это явление послужило основой применения избыточных (неравновесных) радиоактивных изотопов для датировки океанических осадков.

Рис. 1.
Фрагмент цепочки радиоактивного распада изотопа урана 238U с указанием периодов полураспада (t).

Для выбранного избыточного изотопа с известным периодом полураспада t измеряют распределение по глубине образца l его концентрации С(l) и отождествляют полученную зависимость с законом радиоактивного распада

C = C0elt, (1)

где C и C0 - текущая и начальная концентрации изотопа, t - время накопления породы,

l= ln2/t - постоянная распада.

Измеренную зависимость С(l) аппроксимируют также экспонентой

C = C0e–al или ln C/C0 = –al. (2)

На графике в координатах l и ln C/C0 эта зависимость линейна, а тангенс угла наклона равен а. Определив а и исключив из (1) и (2) неизвестную величину C0, находят скорость роста осадочной породы r = l/t = l/a и время накопления слоя.

Таким образом, для определения геохронологических параметров осадочной породы необходимо в эксперименте получить две величины - толщину образца (l) и величину (a). Причем достоверность значений r и t не будет вызывать сомнений лишь при выполнении некоторых условий, а именно: при постоянстве потока радиоизотопов в океанические илы и скорости роста илов, а также неизменности накопления слоев породы. Многочисленные измерения, выполненные в различных лабораториях мира, показали, что глубоководные илы растут со скоростью примерно 1 мм/тыс. лет.

Космогенный хронометр

Проверить соблюдение условий, при которых неравновесные методы дают верные результаты, к сожалению, не всегда возможно. А это значит, что остается доля сомнений в правильности полученных данных. Хотелось бы иметь еще хотя бы один прямой геохронологический метод. Он был найден. Выяснилось, что в результате взаимодействия космического излучения с атмосферой Земли образуются радиоактивные изотопы, в том числе 10Be и 26Al, с периодами полураспада 2.7 и 0.74 млн лет соответственно [3]. Кстати, эти величины значительно больше, чем периоды полураспада 234U, 230Th и 226Ra, и, следовательно, при использовании 10Be и 26Al можно расширить геохронологическую шкалу в сторону более древних возрастов. Эти изотопы адсорбируются на мельчайших частицах пыли и вместе с дождевой водой выпадают на поверхность Земли; значительная их часть поступает в океаны, а затем в донные осадки. Алгоритм расчета возраста и скорости роста осадочных пород ничем не отличается от рассмотренного выше. Оказалось, что найденные по космогенным изотопам значения скорости роста во многих случаях совпадают с теми, которые дают неравновесные методы. К сожалению, условия применения методов практически полностью совпадают, т.е. требуется постоянство потока, скорости роста и сохранность стратиграфической последовательности в процессе формирования породы. Не поддающиеся контролю отступления от них порождают практически одинаковые ошибки в определениях r и t. Необходимо разработать такой метод датировки осадочных пород, условия применения которого были бы другими, например, не требовалось бы постоянство скорости роста.

Метод космического трассера

В Физико-техническом институте им.А.Ф.Иоффе РАН (ФТИ) был предложен новый метод определения скорости образования осадочных пород, основанный на измерении в них содержания космической пыли, выпадающей на Землю [4]. Скорость роста r, плотность потока пыли F, концентрация пыли k и плотность породы r связаны соотношением

F = rrk, (3)

особенность которого в том, что оно не содержит толщины образца. А это значит, что его применение не предполагает непременного постоянства скорости роста и поэтому позволяет исследовать ее послойные вариации.

Как определить концентрацию (содержание) космической пыли в породе? Во-первых, можно использовать различие космической и земной распространенности некоторых элементов, например, Ni, Fe, Co, Os, Ir и др. А во-вторых - отличие физических свойств космических и земных пылинок. Признаками “космичности” считаются сферичность частиц, темная окраска поверхности, магнитность, характерные размеры.

Заметим, что величина F связана со скоростью аккреции космической пыли Землей Р простым соотношением Р = FS, где S = 5.1Ч1018 см2 - площадь поверхности Земли.

С учетом этих признаков была рассчитана скорость аккреции космической пыли Землей. Полученная величина у разных авторов оказалась различной даже при использовании одних и тех же признаков. Значения лежат в диапазоне 103-109 т/год, т.е. разброс составляет шесть порядков. Таким образом, данными методами задача не решается. Выражение (3) формально позволяет находить скорость роста осадочных пород, а фактически этого сделать нельзя из-за громадной неопределенности величины концентрации космической пыли.

Солнечный ветер

Солнечная корона непрерывно расширяется в космическое пространство. Истечение коронарной плазмы называется солнечным ветром, средняя скорость которого, измеренная вблизи Земли, составляет 400 км/с, а корпускулярный поток ~3Ч108 ион/см2Чс. Основная составляющая потока - протоны. Второе место по распространенности занимают a-частицы (ядра гелия) ~ 107 [4Не]/см2Чс. Солнечный ветер практически не проникает в атмосферу нашей планеты из-за экранирующего действия земной магнитосферы. Космические же пылинки, Луна и другие тела солнечной системы, не имеющие магнитной защиты, интенсивно облучаются солнечным ветром. Концентрация космических частиц, имплантированных в их поверхность, может достигать очень большой величины. Например, содержание [5] гелия (по изотопу 4Не) составляет ~1см3/г для пылинок микронных размеров. Изотопный состав ряда элементов солнечного ветра хорошо известен из экспериментов с мишенями, облученными в космосе, и исследования образцов лунного грунта, доставленного на Землю. Так, для солнечного гелия 3Не/4Не = 3.7Ч10–4, т.е. он заметно обогащен легким изотопом 3Не по сравнению с терригенным, для которого эта величина составляет ~ 10–8-10–7. Измерения показывают, что глубоководные океанические илы имеют характерные изотопные отношения 3Не/4Не ~10–5, а это означает, что не менее 99% 3Не в осадочных породах имеет солнечное происхождение за счет аккумуляции космических пылинок. Таким образом, появилась возможность значительно более точного измерения концентрации космической пыли в образцах осадочных пород и, следовательно, определения скорости ее аккреции Землей.

Еще раз о нестандартном методе датировки пород

Учитывая малое (микрограммовое) содержание космической пыли в осадочных породах, а также то, что весь 3He имеет внеземное происхождение, выражение (3) можно видоизменить следующим образом [6]:

F(3Не) = r[3Не], (4)

где F(3Не) - плотность потока (см3/см2Чгод) изотопа 3Не, транспортируемого космической пылью на океаническое дно; [3Не] - концентрация гелия (см3/г) в образце.

Существует несколько способов определения потока F(3Не):

- применение спутниковых данных о потоке космической пыли и концентрации солнечных газов в пылинках лунного грунта;

- теоретический расчет количества космической пыли, достигающей поверхности Земли;

- использование величины потоков других изотопов в том же самом образце.

Определенная нами величина потока изотопа 3Не в океанические осадочные породы [7] составляет:

F(3Не) = 2.4Ч10–15 см3/см2Чгод. (5)

Эта величина получена на основании наших экспериментальных определений концентрации и изотопного состава гелия в океанических илах; учета величин скоростей роста илов, полученных другими методами и упомянутых спутниковых данных, а также теоретических расчетов скоростей аккреции космической пыли Землей.

Ошибка определения величины потока F(3Не) лежит в пределах 50%. При дальнейшем развитии метода космического трассера ошибка может быть существенно уменьшена в результате набора нового экспериментального материала.

Если считать, что поток постоянен в длительном интервале времени, то выражение (4) можно применять для определения скорости роста осадочных пород

r = F(3Не)/[3Не]. (6)

Это равенство можно рассматривать как формализованное выражение нового способа определения скоростей роста осадочных пород посредством измерения в образцах концентрации стабильного изотопа 3Не. При этом ни прямо, ни косвенно не используются закономерности радиоактивного распада и, следовательно, исключается возможность ошибочного отождествления любого природного процесса, протекающего по экспоненциальному закону в осадочных породах, с радиоактивным распадом. Применение метода космического трассера не требует выполнения условия постоянства скорости роста. Выражение (6) позволяет определять как вариации скорости роста при работе с тонкими срезами пород, так и усредненные величины при изучении толстых образцов.

Проведенные исследования показывают, что космическое вещество и инертные газы солнечного происхождения практически всегда присутствуют в океанических осадочных породах. Поэтому возможны определения:

- вариаций космического излучения и солнечной активности;

- вариаций потока космической пыли на Землю в зависимости от географических координат;

- скоростей аккреции космической пыли в прошлом;

- потоков изотопов на океаническое дно;

- вариаций скоростей осадкообразования в океанах;

- возраста и скоростей роста океанических осадочных пород и др.


Парадокс непотопляемости

Дальнейшие наши исследования посвящены изучению возраста и скоростей роста океанических глубоководных железомарганцевых конкреций (Рис. 2).
 
 

Рис. 2.
Железомарганцевая конкреция диаметром 8 см и весом 0.5 кг 
из Южной котловины Тихого океана (коллекция Л.И.Аникеевой).

Такие образования находят практически во всех морях и океанах, а также нередко и в озерах. Однако только глубоководные океанические конкреции залегают с большой плотностью (до 200 кг/м2), образуя рудные поля, перспективные с точки зрения разработки полезных ископаемых. Конкреции имеют неправильную сферическую форму с диаметром 4-8 см. Они представляют собой практически полиметаллические руды: кроме марганца и железа (основных своих компонентов) содержат много Ni, Cu, Co, а также Pt (до 4 г на тонну) и другие металлы. Считается, что железомарганцевые конкреции занимают около 10% площади океанического ложа. Их запасы составляют примерно 340 млрд т. Однако до сих пор не существует ни однозначной теории происхождения данных конкреций, ни количественных моделей процесса их формирования. Даже оценки запасов по разным методикам сильно различаются. Не ясна и скорость роста этих образований, от которой непосредственно зависят оценки скорости пополнения запасов таких руд.

Существуют две оценки скоростей роста конкреций: быстрый рост ~1 мм/тыс. лет и медленный ~1 мм/млн лет. На основании неких общих соображений (влияния миграции, открытости системы) многими исследователями быстрый рост был отвергнут.

Медленная скорость роста следует из решения задачи неравновесными методами ядерной геохронологии при помощи изотопов 230Th (иония), 231Pa, 234U и их отношений, а также на основании измерения космогенных изотопов 10Be, 26Al. В поверхностных слоях наблюдается экспоненциальная зависимость изменения концентрации радиоизотопов в глубь конкреции. Если предположить, что последние растут с постоянной скоростью и уменьшение концентраций радиоизотопов во внутренних слоях обусловлено только радиоактивным распадом исследуемых изотопов, то можно рассчитать время, необходимое для уменьшения их концентрации в различных слоях конкреции и, собственно, скорость ее роста. Однако полученные этим методом медленные скорости роста конкреций противоречат некоторым другим экспериментальным данным. В частности, возникает вопрос: почему на поверхности дна океана находятся огромные поля таких образований, лежащих на донном иле, скорость осаждения которого (надежно измеренная различными методами, в том числе и радиационным) в тысячи раз больше, чем скорость роста самих конкреций? Это противоречие получило название “парадокс непотопляемости”. Для его разрешения выдвигались различные экзотические механизмы, объяснявшие, почему медленно растущие плотные конкреции всплывают и поддерживаются на поверхности быстро осаждающегося рыхлого ила. Но убедительных ответов пока не найдено. Для решения вопроса о скоростях роста конкреций нужно было найти принципиально новый метод определения их возраста. Здесь и пригодился метод космического трассера.

Изотопы гелия в железомарганцевых конкрециях

Масс-спектрометр для анализа гелия должен удовлетворять определенным условиям, два из которых - высокое разрешение и высокая чувствительность - взаимно противоречивы (Рис. 3). Совместить высокие аналитические параметры удалось в магнитных резонансных масс-спектрометрах [8], впервые предложенных, сконструированных в ФТИ и имеющихся в нашем распоряжении. Использовались образцы двух типов: толстые (10 мм) и тонкие (0.1-1 мм).

Рис. 3. 

Масс-спектр высокого разрешения (триплет масс ионов с массовым числом 3). М - шкала масс в атомных единицах. 

Ионы HD+ и H3+ (пики так называемого остаточного спектра) - результат присутствия в вакуумной системе масс-анализатора и экстрактора некоторого (остаточного) количества водорода при ничтожном общем давлении газов (вплоть до 10–10 мм р.с.). 

D - дейтерий, тяжелый изотоп водорода. 

H3+ - диссоциативно-ассоциативный ион, образующийся в ионном источнике при взаимодействии пучка электронов с водородом в вакуумных условиях. 

Для записи пика изотопа 3Не чувствительность регистрирующей системы была повышена в тысячу раз.

Эффект самоэкранирования. При получении толстых образцов выпиливалась сквозная колонка с основанием 10x10 мм2, проходящая через геометрический центр конкреции. Затем она разрезалась на 7-10 частей. Каждый образец измельчался, и навеска около 1 г загружалась в вакуумную экстракционную установку, соединенную в линию с масс-спектрометром.

В конкрециях изотопные отношения гелия (3Не/4He) ~10–5. Это результат смешения солнечного гелия (3Не/4He ~ 3.7Ч10–4), поставляемого космической пылью, и терригенного (с 3Не/4He ~ 10–7-10–8). Скорость роста, определенная в образцах, лежит в пределах 1-10 мм/тыс. лет. На Рис. 4 видно, что концентрация изотопа 3He изменяется, по определенному закону, от середины к краям конкреции.

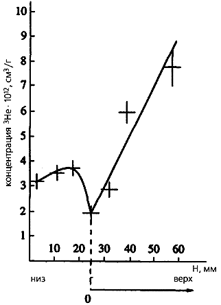
Рис. 4.

Распределение концентрации изотопа 3Не по высоте колонки, вырезанной из железомарганцевой конкреции. Ветвь графика 0 - низ в сравнении с ветвью 0 - верх демонстрирует эффект самоэкранирования.

Минимальное значение 3Не наблюдается вблизи геометрического центра симметрии. Это дает основание считать, что минимум на графике соответствует зародышу, вокруг которого произошло формирование тела конкреции, т.е. в возрастном исчислении это ее самый древний фрагмент. Для верхней полуплоскости сферы концентрация изотопа 3Не линейно увеличивается от центра к периферии. Скорость роста (6) - величина, обратно пропорциональная содержанию 3Не, и соответственно она уменьшается от центра к периферии. Для нижней полуплоскости зависимость иная. По мере удаления от центра концентрация 3Не несколько увеличивается, затем достигает насыщения и немного убывает. Такой вид зависимости, вероятнее всего, отражает влияние эффекта экранирования потока космической пыли телом растущей конкреции (самоэкранирование). Поэтому подобные расчеты возраста и скорости роста конкреции можно проводить только для ее верхней полуплоскости.

Концентрационная экспонента. Тонкие образцы приготавливались в виде порошка при стачивании фрезой поверхности конкреции9. Оказалось, что скорость роста тонких слоев такая же, что и в толстых образцах, ~1 мм/тыс. лет. Мы последовательно снимали с поверхности до 10 слоев толщиной @ 0.1 мм. Можно было ожидать, что концентрация 3Не в них постоянна, тогда постоянна и скорость роста конкреции. Только в этом случае применение радиоизотопных методов (по крайней мере для определения скоростей роста тонких приповерхностных слоев) вполне оправдано.

Результаты экспериментов с конкрецией весом около 0.5 кг из рудной провинции Кларион-Клиппертон приведены на Рис. 5, на котором показаны следующие регулярные изменения концентрации: два участка графика (1 и 3) аппроксимируются отрезками падающих прямых и один (2) - нарастающей. Как выяснилось, последний связан с присутствием тонкой глинистой прослойки. При падении скорости роста до 0.8 мм/103 лет конкреция стала засыпаться выпадающей из воды взвесью, скорость накопления которой выше. Затем поток марганца и железа вновь увеличился, и на тонкой и, вероятно, не сплошной прослойке глины образовался новый, самый верхний слой. Первый участок графика в аналитической форме описывается так:

[3Не] =[3Не]0ebl, (7)

где [3Не]0 - концентрация изотопа гелия на поверхности (l = 0); [3Не] - текущее значение концентрации при l Ј 0.3 мм; b - тангенс угла наклона графика. Подобная закономерность справедлива и для третьего участка графика, если начало отсчета перенести в точку l = 0.5, в которой скорость роста упала до минимального значения 0.8 мм/103 лет.

Рис. 5.

Распределение концентрации изотопа 3Не по глубине в приповерхностном слое конкреции (l = 0 на поверхности) в полулогарифмических координатах. Цифрами 1, 2, 3 отмечены участки монотонных изменений концентраций (1, 3 - экспоненты). Числа рядом с экспериментальными точками - скорости роста (мм/103 лет), рассчитанные по (6).

Таким образом, измерения показывают, что экспоненциальная зависимость (7) может реализовываться и для стабильного изотопа 3Не. Скорость роста (~1 мм/103 лет) изменяется же от слоя к слою.

Медленная скорость роста - распространенный артефакт

Иониевым методом (l = 9.2Ч10–6 лет–1) для рудной провинции Кларион-Клиппертон была определена скорость роста железомарганцевой конкреции r = l/a в 2-8 мм/106 лет. А это означает, что величина тангенса угла наклона (a) лежит в диапазоне 12-46 см–1. На Рис. 5 для первого и третьего участков, тангенс угла наклона b @ 30 см–1, т.е. эта величина попадает в диапазон значений (a). В случае регистрации вместе 3Не и 230Th можно было бы получить согласно (2) принятую для этой провинции величину скорости роста конкреции в 3 мм/106 лет. Но данное значение ошибочно. Концентрационная зависимость 3Не показывает, что r const и, следовательно, выражения (1) и (2), лежащие в основе иониевого и других радиоизотопных методов, не могут использоваться для определения величины скорости роста и возраста конкреций.

Итак, медленные скорости роста глубоководных железомарганцевых конкреций (~1 мм/106 лет), принятые в исследованиях, посвященных океаническому рудогенезу в течение примерно 35 последних лет, - досадный артефакт, возникший в результате некорректного использования радиоизотопных методов[10].

Как образуются конкреции

Количественную модель формирования железомарганцевых конкреций удалось разработать на основе закономерности, обнаруженной при исследовании образцов вырезанных колонок. Два прямолинейных участка графика на Рис. 4 могут быть описаны формулой:

3Не = [3Не]0 + bR, (8)

где b = 2Ч10–12 см3Чсм - тангенс угла наклона отрезка прямой, R - радиус растущей конкреции. Величина [3Не]0 связана с ядром конкреции - как правило, неорганическим или органическим веществом, встречающимся в донном иле. Второе слагаемое характеризует рост самой конкреции, формирующейся вокруг ядра. Учитывая вышесказанное, можно получить следующие выражения:

r = F/(2rbR); t = R2Ч(rb/F). (9)

Такая квадратичная связь между радиусом и временем характерна и для роста кристалла в растворе за счет диффузионного массопереноса. На этом основании мы разработали сорбционно-диффузионный механизм формирования, т.е. рост конкреции за счет сорбции их поверхностью при диффузионном потоке марганца, растворенного в поровой воде. На основе решения диффузионных уравнений Фика получены следующие выражения:

r = DC0/rfR; t = R2Ч(rf/2DC0) , (10)

где D = 2Ч10–5 см2с - коэффициент диффузии; C0 = 2Ч10–7 г/см3 - концентрация марганца в поровой воде; f - среднее относительное содержание марганца в конкреции (для провинции Кларион-Клиппертон, по литературным данным, f = 0.3).

Особенность выражений (9) и (10) в том, что функциональные связи между основными параметрами - скоростью роста, радиусом конкреции, ее плотностью и временем роста - одинаковы. Иными словами, при использовании потока космического гелия, существующего в конкрециях в виде микропримесей (9), и потока основного рудообразующего элемента - марганца (10) - получаются подобные выражения. Это обстоятельство выступает сильным аргументом в пользу реализуемости в природе сорбционно-диффузионного механизма формирования конкреций. Не менее убедительны и результаты расчета скорости и времени роста при использовании этих независимых подходов. Так, для конкреции радиусом 3 см и плотностью 1.6 г/см3 скорость роста, определенная методом космического трассера и рассчитанная по сорбционно-диффузионному механизму, составляет величины 1.2 и 0.9 мм/103 лет, а время ее образования - 12 и 17 тыс. лет соответственно.

Результаты, полученные при независимых подходах, удовлетворительно совпадают (расхождение 40%). Вычисления через поток 3He, по-видимому, более достоверны, так как основаны на непосредственных измерениях концентраций в конкреции, скорость роста и возраст которой определяются. Вычисления же через поток Mn (10) используют величины D и C0, полученные в других экспериментах, и поэтому совпадение с точностью до 40% можно считать вполне хорошим.

Вместо эпилога

Хорошо известна роль лучистой энергии Солнца, поглощаемой водной толщей. Она определяет многие глобальные процессы на Земле. Мы исследовали как солнечное вещество попадает в океанические осадочные породы в составе космической пыли (микрометеороидов). В вещественном балансе океана его доля очень невелика, но именно она создает заметные, а по 3Не - громадные изотопные сдвиги, которые позволяют решать фундаментальные и прикладные задачи в океанологии, гео- и космохимии.

Мы акцентировали внимание на возможности использования солнечного гелия для геохронологических исследований осадочных пород и, в частности, для определения скоростей роста и возраста глубоководных железомарганцевых конкреций. В этом направлении получено “уточнение” этих параметров в тысячу раз, иными словами, показано, что существовавшие в последние 35 лет оценки скоростей роста таких конкреций (~1мм/106 лет) - артефакт, который приводил к существованию неразрешимого (несмотря на многие попытки) парадокса непотопляемости и других геохронологических и геохимических “нестыковок”. Установление значения скорости роста примерно в 1 мм/103 лет и ее вариации в колонках, вырезанных из конкреции, а также анализ полученных закономерностей позволили разработать первые количественные модели механизма формирования конкреций (сорбционно-диффузионного), которые независимо подтверждают факт быстрой скорости роста.

Многие перспективные направления исследований, основанные на связи Мировой океан - космическая пыль - Солнце, еще ждут своего развития, и в этом смысле проделанная работа - только один из этапов изучения, и она далека от завершения, т.е. не имеет своего эпилога.

Литература

1 Лисицын А.П. Осадкообразование в океанах. М., 1974; Андреев С.И. Металлогения железомарганцевых конкреций Тихого океана. СПб., 1994.

2 Старик Е.И. Ядерная геохронология. М.;Л., 1961.

3 Шуколюков Ю.А. Часы на миллиард лет. М., 1984.

4 Ануфриев Г.С., Крылов А.Я., Павлов В.П., Мазина Т.И. // ДАН. 1977. Т.237. №2. С.284-287.

5 Количество гелия удобно измерять объемом (в см3) газа, приведенного к нормальным условиям.

6 Ануфриев Г.С., Болтенков Б.С., Капитонов И.Н. // ДАН. 1989. Т.304. №3. С.702-705.

7 Ануфриев Г.С., Болтенков Б.С. // Литология и полезные ископаемые. 1996. №5. С.552-560.

8 Ануфриев Г.С. Анализ неорганических газов. Л., 1983. С.56-77.

9 Ануфриев Г.С., Болтенков Б.С. // Литология и полезные ископаемые. 1997. №5. С.451-457.

10 Ануфриев Г.С. // ДАН. 1999. Т.364. №5. С.683-686.




Август 2000