No.8, 2007 г.

© Лебедев С.Г.

По следам углеродной сверхпроводимости

С.Г. Лебедев
Сергей Григорьевич Лебедев, к.ф.-м.н., с.н.с. Института ядерных исследований РАН.

Открытие сверхпроводимости (СП) вызвало всплеск надежд на то, что подобные состояния достижимы не только при охлаждении до температур жидкого азота, но также при комнатных и даже более высоких температурах ("горячая" СП, ВТСП). Нет нужды много говорить о преимуществах "горячей" СП - в идеале рассеивание электроэнергии может составить лишь несколько процентов от нынешнего уровня. Вот почему эксперименты в области сверхпроводимости по эмоциональному накалу можно сравнить с поисками Святого Грааля или философского камня. Состояние "горячей" СП, по-видимому, реализуется в атомных ядрах и в таких экзотических объектах, как нейтронные звезды. Однако есть основания полагать, что некоторые углеродные конденсаты также могут обладать сверхпроводящим свойством.

Предпосылки углеродной сверхпроводимости

Возможность существования сверхпроводимости с температурой выше комнатной обосновали лауреат Нобелевской премии В.Л.Гинзбург [1] и В.Литтл [2]. После этого исследователи с энтузиазмом принялись за поиски ВТСП-материалов.

По современным представлениям, сверхпроводимость обусловлена "связыванием" отдельных электронов в куперовские (по имени первооткрывателя Л.Купера) пары через цепочку атомов кристаллической решетки. Электроны как бы постоянно дергают за цепочку, согласуя свое движение с напарником. При этом пара электронов движется в кристаллической решетке как единое целое и не рассеивает своей энергии. Чем выше частота обменов "рывками", тем сильнее электроны связаны в пары и тем выше температура разрушения сверхпроводящего состояния. Замечено, что "частота рывков" выше в материалах с высокой температурой плавления, таких как углерод с его большим разнообразием химических и структурных модификаций. Поэтому углерод и его соединения одними из первых "попали под подозрение". Известный польский ученый К.Антонович (1914-2002) более 30 лет назад исследовал проводящие свойства стеклоуглерода [3] и его напыленных осадков [4] и обнаружил эффект скачка проводимости до трех порядков величины. Изменение проводимости было обратимым, а время релаксации составляло несколько дней. В дальнейшем Антонович выявил увеличение тока при микроволновом облучении Al-C-Al-сэндвича [5]. Правда, изменение тока происходило с задержкой после облучения СВЧ в течение 100 мин. На первый взгляд такие "времена задержки" представляются весьма странными с точки зрения электронных механизмов. Тем не менее Антонович объяснил наблюдаемые эффекты сверхпроводимостью при комнатной температуре [6].

Автор данной статьи долгое время изучал применение тонких углеродных пленок в качестве перезарядных мишеней для ускорителей ионов. Была разработана физическая модель разрушения углеродных мишеней в пучках ионов. В соответствии с ней в основе механизма лежит накопление и отжиг подвижных точечных радиационных дефектов - междоузлий. Накопление этих дефектов создает механические напряжения в тонкой углеродной пленке, которая разрушается, когда напряжения превысят предел прочности материала на разрыв [7]. В дальнейшем с помощью разработанной модели исследовалось влияние микроструктуры пленки и различий в условиях ее осаждения на сроки службы под облучением ионами [8-10]. Результаты были проверены экспериментально на ускорителях в Лаборатории ядерных реакций Объединенного института ядерных исследований (Дубна), Института теоретической и экспериментальной физики (Москва), Института физики высоких энергий (Протвино). В ходе этих работ возник интерес к электромагнитным свойствам пленок.

Странный электромагнетизм

Изучая проводящие свойства углеродных пленок, полученных распылением графита в электрической дуге, мы обнаружили скачок сопротивления на четыре-пять порядков величины при некотором критическом токе [11] (рис.1). Потом, с задержкой, наступала релаксация проводимости. Все происходило, как в опытах Антоновича, но результаты его исследований стали известны нам лишь много лет спустя. При сходстве исследуемых эффектов и подобии структуры образцов направление наших исследований, их результаты и выводы в значительной мере отличались от тех, что были получены Антоновичем. При комнатной температуре критический ток менялся в пределах 5-500 мА в зависимости от типа конденсата и условий отжига образцов. С понижением температуры величина критического тока увеличивалась. После релаксации низкое сопротивление полностью восстанавливалось, так что образцы можно было использовать для переключений многократно. Измеренное нами время переключения (определенное как длительность фронта нарастания сигнала) такого бесконтактного выключателя (рис.2) составляло 1 нс. Это исключает тепловой механизм переключения.

Рис. 1. Вольт-амперные характеристики электронного бесконтактного выключателя при двух вариантах переключения - ручной (квадратики) и программной (кружки) регулировке подачи тока на образец. Время выключения составляет 1 нс. Видно, что электросопротивление образца в процессе переключения увеличивается на четыре-пять порядков.

Рис. 2. Время срабатывания джозефсоновского выключателя на основе углеродной пленки.
Время определено как длительность фронта нарастания пика в левой части рисунка.

Сочетание столь быстрого переключения с длительной релаксацией можно объяснить наличием джозефсоновских вихрей, открытых в свое время нашим соотечественником, лауреатом Нобелевской премии А.А.Абрикосовым, работающим теперь в США, в Аргоннской национальной лаборатории. Эти вихри представляют собой цилиндрические образования, ограниченные сверхпроводящими токами, внутри которых находится ядро нормальной фазы с разрушенной сверхпроводимостью. Каждый вихрь несет в себе один квант магнитного потока. Вихри проникают в пленку через границы извне и могут мигрировать под действием электрических и магнитных полей, а также "зацепляться" за всевозможные дефекты и неоднородности, которых всегда предостаточно внутри пленки. Условия проникновения зависят от величин магнитного и электрического полей. Чем выше величина магнитного поля, тем меньше размер образующихся вихрей и тем легче они проникают и перемещаются в пленке. Приложенное электрическое поле "выталкивает" вихри из пленки. Поэтому длительные времена релаксации проводимости после переключения могут быть связаны с медленным вхождением вихрей в пленку. В то же время приложение достаточно большого электрического напряжения нейтрализует влияние закрепляющих барьеров и заставляет вихри быстро покидать пленку. Фактически высокая проводимость углеродной пленки определяется движением вихрей под действием приложенного напряжения.

Рис. 3. Зависимость амплитуды наведенного постоянного напряжения под действием микроволнового облучения от температуры образца. Амплитуда обращается в нуль при температуре 650 К.
Другая интересная особенность углеродных пленок - появление постоянного напряжения на контактах при облучении радиоволнами, т.е. детектирование СВЧ-излучения. Подобный эксперимент в простейшей форме также был впервые выполнен Антоновичем. Однако и об этом мы тоже ничего не знали и потому проводили свой эксперимент принципиально иначе и использовали технику и представления, которые отсутствовали 30 с лишним лет назад. Антонович рассматривал пленку как единый джозефсоновский контакт и наблюдал изменения вольтамперной характеристики Al-C-Al-сэндвича под действием микроволнового излучения. Джозефсоновский контакт (ДК) образуется между двумя сверхпроводниками, разделенными тонкой прослойкой изолятора или нормального металла. При токах ниже критического куперовские пары могут туннелировать из одного сверхпроводника в другой практически без разрушения, и ДК ведет себя как сверхпроводник. Иными словами, при протекании тока ниже критического значения напряжение на контакте отсутствует. Но когда ток достигает критического значения, куперовские пары разрушаются в прослойке между двумя сверхпроводниками. Разрушение каждой пары связано с испусканием светового кванта, частота которого n зависит от энергии связи Еb электронов в куперовской паре: Eb = ћn, где ћ - постоянная Планка. Такой процесс называется нестационарным эффектом Джозефсона и объясняет испускание светового излучения ДК. Известен и обратный эффект Джозефсона - наведение на ДК постоянного напряжения при облучении его светом. Именно обратный эффект активно используется при исследовании как отдельных ДК, так и их объединений - джозефсоновских сред (ДС).

30 лет назад представления о них еще не были развиты.

Когда была изучена структура углеродных пленок, стало ясно, что они представляют собой конгломераты из графитоподобных нанокластеров-гранул, внедренных в "матрицу" из аморфного углерода [12]. Следовательно, соседние гранулы, разделенные изолирующей прослойкой аморфного углерода, образуют ДК. Электрические свойства подобных гранулярных пленок очень напоминают поведение ДС. Поэтому мы изначально предположили, что в пленках существует джозефсоновская среда. Свою задачу мы видели в том, чтобы доказать ее наличие. В настоящее время методология идентификации ДС достаточно хорошо разработана. Успехи в этом направлении в значительной мере были достигнуты благодаря изучению новых высокотемпературных сверхпроводников (ВТСП), которые, как известно, представляют собой именно джозефсоновские среды. Выяснилось, что при микроволновом облучении ДС на контактах наводится постоянное напряжение, т.е. возникает обратный эффект Джозефсона. Это напоминает диодное выпрямление переменного тока, но принципиально отлично от него.

Чтобы однозначно идентифицировать ДС, необходима не только методика разделения обратного эффекта Джозефсона и диодного выпрямления, но и отбраковки термоэдс и других побочных явлений. Такую методику разработал Дж.Чен с коллегами [13]. Они исследовали нестабильную примесь сверхпроводящей фазы с критической температурой 240 К, содержащуюся в образце ВТСП-керамики с критической температурой 90 К. В результате была досконально изучена реакция ДС на СВЧ-излучение, зависимость от температуры, частоты и амплитуды СВЧ-сигнала. Благодаря методике удалось доказать наличие ВТСП-фазы с Tк = 240 К, что значительно превышает достигнутый на сегодня температурный предел в 130 К. Мы применили эту методику для исследования предполагаемой ВТСП-фазы в углеродных пленках. В ходе экспериментов были воспроизведены все характерные реакции ДС и тем самым обосновано ее существование в углеродной пленке. Критическая температура ВТСП-фазы определяется как точка обращения в нуль постоянного напряжения Vdc, наведенного на контактах при микроволновом облучении. На графике зависимости Vdc от температуры в углеродной пленке (рис.3) можно видеть, что Tк составляет 650 К.

Наблюдаемое поведение очень напоминает "горячую" сверхпроводимость. Однако возникает вопрос: почему же тогда углеродные пленки имеют конечное сопротивление? Дело в том, что сверхпроводящие системы не всегда могут приобретать общее нулевое сопротивление или, говоря точнее, состояние "общей фазовой когерентности". Оно становится возможным, когда сопротивление пленки в нормальном состоянии (т.е при температуре выше критической) меньше характерной величины RQ = 7 кОм. А нормальное сопротивление пленки составляет десятки мегом. По-видимому, СП-фаза занимает лишь небольшую часть объема пленочного образца, что может объяснить его конечное сопротивление. А есть ли основания предполагать, что сверхпроводимость возможна в наноразмерных графитовых гранулах? Оказывается, есть. В.Л.Гинзбург предсказал возможность высокотемпературной сверхпроводимости в сэндвичах, составленных из высокопроводящей фазы, окруженной диэлектриком с высокой диэлектрической проницаемостью e [14, 15]. Как упоминалось, в углеродной пленке графитовые гранулы погружены в матрицу аморфного углерода. По нашим оценкам, диэлектрическая проницаемость в графитовых зернах гранул составляет e = 15 [16] (обычно это значение порядка единицы). И это позволяет рассматривать гранулированные углеродные пленки в качестве прямого воплощения идеи Гинзбурга.

Магнитные свойства углеродных пленок

Детектирование СВЧ в пленочных образцах - лишь одна иллюстрация реальности ДС. Другие свидетельства джозефсоновского поведения пленок проявляются в их магнитных свойствах. Измерения намагниченности образцов с малой примесью сверхпроводящей фазы - очень трудоемкая задача, справиться с которой под силу только таким высокочувствительным приборам, как СКВИД (Superconducting Quantum Interference Device - SQUID)-магнетометр. Действие этого прибора основано на интерференции слабых магнитных потоков образца с известным магнитным потоком в сверхпроводящем кольце, в которое включен джозефсоновский контакт. Как говорится, подобное измеряем подобным. Ведь джозефсоновская интерференция позволяет измерять величины магнитных потоков, сравнимых по величине с квантом магнитного потока F0 =  2·10-7 Гс·см2. Эта величина имеет размерность магнитного поля, умноженного на площадь. Если площадь вихря составляет 1 см2, то он несет магнитное поле 2·10-7 Гс. Для сравнения: магнитное поле Земли составляет 0.5 Гс, а постоянного магнита - до 104 Гс. Предположив, что размер вихря равен 0.1 мкм, получим магнитное поле в 2·103 Гс.

СКВИД-магнетометр - очень дорогой прибор, поэтому их число в мире невелико, и провести измерения с помощью СКВИДа - большая удача и доверие. Нам посчастливилось провести подобные измерения в Лаборатории сверхпроводимости и магнетизма Лейпцигского университета (Германия). Параллельно со СКВИД-измерениями углеродные пленки изучались в магнитном силовом микроскопе (MFM). Данный прибор, также чрезвычайно дорогостоящий, характеризуется тем, что он одновременно позволяет увидеть как магнитные, так и топологические кластеры в пленке.

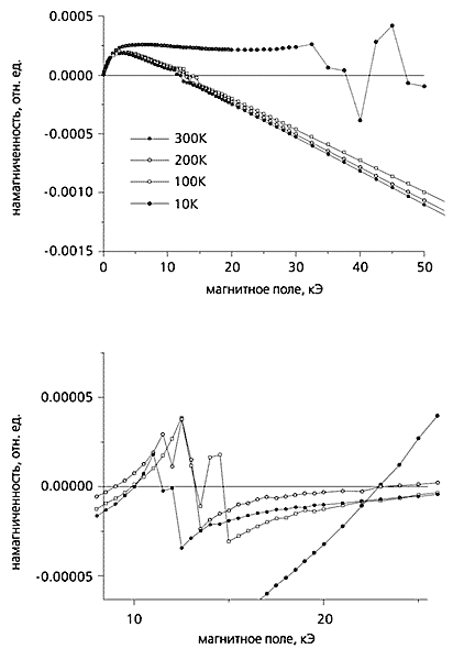
Рис. 4. Осцилляции намагниченности образца в зависимости от приложенного магнитного поля при разных температурах. Вид графика обусловлен действием трех факторов: из-за ферромагнитных примесей возникает изначальный "холм", затем за счет естественного диамагнетизма графита намагниченность линейно уменьшается, и на этом фоне возникают скачкообразные осцилляции, связанные с вхождением квантов магнитного потока в магнитные кластеры. Внизу показана область осцилляций намагниченности "под микроскопом". Видно, что пики осцилляций смещаются по величине магнитного поля, а амплитуды осцилляций уменьшаются по мере роста температуры.
С помощью СКВИД-магнетометра мы обнаружили осцилляции намагниченности образца в области магнитных полей 104-5·104 Гс [17] (рис.4). Величина магнитного поля, соответствующая скачкам намагниченности, а также их амплитуда зависят от температуры (см. рис.4). Каждая осцилляция связана с увеличением магнитного потока в кластере на один квант магнитного потока F0. Используя данные измерений, мы определили размеры магнитных кластеров: они составляли 0.1 мкм. Это означает, что кластеры в углеродной пленке состоят примерно из 100 элементарных гранул. В магнитном силовом микроскопе мы увидели магнитные кластеры и определили их средний размер, составивший 0.16 мкм. Это достаточно хорошее совпадение с величиной, определенной в СКВИД-измерениях.

Рис. 5. Одновременное изображение поверхности углеродной пленки в оптическом (слева) и магнитном микроскопе (справа). Видны корреляции в положении по крайней мере некоторых магнитных и топологических кластеров. Вдоль границ магнитных кластеров четко заметны циркулирующие токи, которые на фото выглядят как темные полосы вдоль цепочки кластеров и напоминают огромные валуны в горной реке, если смотреть на нее с высоты птичьего полета.
Сравнив магнитную и оптическую "картинки", мы заметили, что, по крайней мере, некоторые магнитные кластеры совпадают с топологическими (рис.5). Хорошо различимые на снимках токи обтекают границы кластеров, которые напоминают магнитные вихри. На самом ли деле видимые в магнитном силовом микроскопе кластеры являются магнитными вихрями? Пока это точно не известно, проверка требует нового цикла магнитных измерений.

Громадье планов

В дальнейших исследованиях мы возлагаем большие надежды на легирование углеродных пленок с целью увеличения их проводимости. Возможно, это позволит достичь состояния с нулевым сопротивлением при комнатных температурах, а может быть, и выше. Другое перспективное направление - поиск оптического излучения, вероятно, испускаемого пленкой в момент переключения из состояния с высокой проводимостью в состояние с высоким сопротивлением. Ведь если мы имеем дело с джозефсоновской средой, то в момент разрушения сверхпроводимости следует ожидать джозефсоновского излучения с характерной частотой, определяемой энергией связи куперовских пар. Для сверхпроводника с критической температурой 650 К нужно искать инфракрасное излучение с длиной волны в несколько микрометров. Первые попытки зарегистрировать его с помощью быстрого высокочувствительного фотодиода оказались обнадеживающими: удалось зафиксировать серию оптических импульсов в ожидаемом диапазоне, т.е. во временной окрестности вблизи скачкообразного изменения проводимости (рис.6). Их величина значительно превышает уровень "подложки", так что вводит фотодиод в состояние насыщения. Однако длительность импульсов существенно превышает ожидаемое значение в 1 нс. Кроме того, "рождается" не один, а несколько импульсов, что связано, по-видимому, с "многоступенчатой" генерацией за счет постепенного "выключения" отдельных сверхпроводящих кластеров. В таком случае переключение также должно быть ступенчатым, а общая длительность процессов переключения и излучения вполне может составить сотые доли секунды (см. рис.6). Расплывание импульса излучения относительно исходной наносекундной ширины импульса переключения связано с затратами времени на "высвечивание" и распространение оптического импульса в пленке и подложке.

Рис. 6. Генерация оптического излучения во временной окрестности вблизи скачкообразного изменения проводимости. Видно, что генерация происходит многоступенчато в течение нескольких импульсов, амплитуды которых уменьшаются по мере завершения процесса. По оси ординат отложено напряжение, наведенное на фотодиоде оптическим излучением пленки.
Мы продолжаем исследовать джозефсоновскую среду в углеродных пленках и одновременно размышляем о возможных применениях уже полученных результатов. Существование ДС при комнатных температурах открывает перспективу создания различных приборов некриогенной джозефсоновской электроники [18].

Одно из подобных приложений - бесконтактный полевой выключатель (см. рис.1). Внедрение таких выключателей существенно повысит безопасность в электрических сетях и защищенность от помех. В США в течение длительного времени разрабатывается подобный полевой выключатель на основе фуллеренов [19], однако он требует охлаждения жидким гелием.

Другим интересным применением может быть джозефсоновский детектор g-излучения для регистрации нейтрино и темной материи [20, 21].

Можно создать генераторы и детекторы СВЧ-излучения. Однако прежде следует проанализировать, будут ли они иметь какие-либо преимущества по сравнению с существующими.

Интересным представляется использование гранулярных углеродных пленок в качестве магнитной защиты. Воздействие электрического тока разрушает магнитные вихри в пленке. Возврат в высокопроводящее состояние происходит при накачке вихрей извне с "поглощением" магнитных полей из окружающего пространства. Облицовка углеродной пленкой стен, потолка и пола помещений с повышенными требованиями по магнитной защите позволила бы контролировать и предотвращать проникновение магнитных полей, измеряя сопротивление отдельных участков покрытия.

Оптическое излучение пленок при скачкообразном переключении проводимости открывает еще одну возможность - конструирование нового типа лазеров на магнитных вихрях. Мощность подобного лазера может оказаться весьма значительной. Как показывают наши эксперименты, в момент переключения мощность, развиваемая током, составляет несколько ватт. В результате скачка сопротивление пленки за 1 нс увеличивается в 10 тыс. раз, т.е. пленка превращается практически в изолятор. Куда же девается вся мощность в несколько ватт того постоянного тока электронов, которые еще 1 нс назад мчались с огромной скоростью? Это напоминает краш-тест автомобиля, когда с целью проверки подушки безопасности он на полной скорости врезается в бетонную стену. По-видимому, вся исчезнувшая мощность высвечивается в виде нескольких импульсов излучения длительностью в 1 нс каждый, и мы получаем импульсную мощность лазера на магнитных вихрях порядка 1 ГВт.

Интересным приложением может оказаться покрытие углеродной пленкой внутренней поверхности резонаторов для ускорителей элементарных частиц, а также систем СВЧ-транспортировки электроэнергии с целью уменьшения потерь, и создание ВТСП-проводов для мощных сверхпроводящих некриогенных магнитов. Технология нанесения углеродных пленочных покрытий из газовой фазы легко позволяет это сделать. Более того, этот процесс без особых проблем можно автоматизировать, контролируя качество покрытия по электросопротивлению.

Все перечисленное позволяет надеяться, что гранулярным углеродным пленкам уготовано светлое будущее в энергетике и электронике.

Работа выполнена при поддержке Российского фонда фундаментальных исследований. Проект 05-08-17909-а.

Литература

1. Гинзбург В.Л. // ЖЭТФ. 1964. Т.47. С.2318-2327.

2. Little W.A. // Phys. Rev. 1964. V.134. P.A1416-A1424.

3. Antonowicz K. et al. // Carbon. 1973. V.11. P.1-5.

4. Antonowicz K. et al. // Carbon. 1972. V.10. P.81-86.

5. Antonowicz K. // Phys. Status. Solidi (a). 1975. V.28. №2. P.497-502.

6. Antonowicz K. // Nature. 1974. V.247. P.358-360.

7. Koptelov E.A., Lebedev S.G., Panchenko V.N. // Nucl. Instr. Meth. 1987. V.A256. P.247-250.

8. Koptelov E.A., Lebedev S.G., Panchenko V.N. // Nucl. Instr. Meth. 1989. V.B42. P.239-244.

9. Lebedev S.G. // Nucl. Instr. Meth. 1994. V.B85. P.276-280.

10. Lebedev S.G. // Nucl. Instr. Meth. 1995. V.A362. P.160-162.

11. Лебедев С.Г., Топалов С.В. // Краткие сообщения по физике ФИАН. 1994. №11-12. С.57-64.

12. Lopinski G.P. et al. // Phys. Rev. Lett. 1998. V.80. P.4241-4250.

13. Chen J.T. et al. // Phys. Rev. Lett. 1987. V.58. P.1972-1975.

14. Гинзбург В.Л. // УФН. 1968. Т.95. С.91-99.

15. Гинзбург В.Л. // УФН. 1991. Т.169. С.25-34.

16. Lebedev S.G. // ArXiv:cond-mat/0510304

17. Lebedev S.G. // Nucl. Instr. Meth. 2004. V.A521. P.22-29.

18. Лебедев С.Г. Патент РФ №2212735, 2003.

19. Schцn J.H., Kloc Ch., Haddon R.C., Batlogg B. // Science. 2000. V.288. P.656-659.

20. Da Silva A. et al. // Proc. Of Workshop on Low Temperature Detectors for Neutrinos and Dark Matter II. France, 1988. P.417-432.

21. Beck C., Mackey M.C. // ArXiv:astro-ph/0406504.
 



VIVOS VOCO
Август 2007