№7, 2000 г.

© С.Н.Чвалун
Полимерные нанокомпозиты

С.Н.Чвалун

Сергей Николаевич Чвалун, доктор химических наук,
заведующий лабораторией структуры полимеров
Государственного научного центра РФ
“Научно-исследовательский физико-химический институт им. Л.Я.Карпова”.


 

Одно из интереснейших и перспективных направлений в науке о полимерах и материаловедении последних лет — разработка принципов получения полимерных нанокомпозитов. Что же представляют собой эти материалы нового класса? По определению, композиционными называют материалы, состоящие из двух или более фаз с четкой межфазной границей. На практике же это — системы, которые содержат усиливающие элементы (волокна, пластины) с различным отношением длины к сечению (что и создает усиливающий эффект), погруженные в полимерную матрицу. Удельные механические характеристики композитов (нормированные на плотность) заметно выше, чем у исходных компонентов. Именно благодаря усиливающему эффекту композиты отличаются от наполненных полимерных систем, в которых роль наполнителя сводится к удешевлению цены конечного продукта, но при этом заметно снижаются механические свойства материала.

Композиционные материалы различаются типом матрицы (органическая, неорганическая), ее перерабатываемостью (термопласт, термосет), типом усиливающих элементов, их ориентацией (изотропная, одноосно ориентированная) и непрерывностью. Механические свойства композитов зависят от структуры и свойств межфазной границы. Так, сильное межфазное взаимодействие между матрицей и волокном-наполнителем обеспечивает высокую прочность материала, а значительно более слабое — ударную прочность. В обычных композиционных материалах фазы имеют микронные и субмикронные размеры. Наблюдаемая тенденция к улучшению свойств наполнителя (усиливающего элемента) при уменьшении его размеров объясняется снижением его макроскопической дефектности. Однако в целом физические свойства конечного композита не могут превосходить свойств чистых компонентов. Другое дело нанокомпозиты — структурированные материалы со средним размером одной из фаз менее 100 нм. Заметим, в 80-х годах начали получать и молекулярные композиты, в которых сегменты из жестких цепей в принципе не могут образовать отдельную фазу. О нано- и молекулярных композитах и пойдет речь.

Композиционные материалы — изотропный и ориентированный —
и их характерные свойства при разных наполнителях:
стекло- (СВ), углеродно- (УВ) и арамидноволоконном (АВ).

Нанокомпозиты из керамики и полимеров

Основные структурные параметры наночастиц — их форма и размер. Физические, электронные и фотофизические свойства наночастиц и кластеров, определяемые их чрезвычайно высокой удельной поверхностью (отношением поверхности к объему), значительно отличаются от свойств как блочного материала, так и индивидуальных атомов. Например, если размер кристалла золота уменьшается до 5 нм, температура плавления снижается на несколько сотен градусов [1]. Свойства конечного нанокомпозиционного материала зависят от природы взаимодействия между фазами и строения межфазных областей, объемная доля которых чрезвычайно велика.

Очень многие материалы — от металлов и керамик до биоминералов — состоят из неорганических наночастиц (оксидов, нитридов, карбидов, силикатов и т.д.). Они входят в состав и нанокомпозитов на основе различной керамики и полимеров. Несовместимость этих неорганических и органических компонентов — основная проблема, которую приходится преодолевать при создании таких материалов. Чрезвычайно важно также контролировать в них степень микрофазного разделения.

Материалы с сетчатой структурой. Наибольшие успехи в получении этих нанокомпозитов были достигнуты золь-гель технологией, в которой исходными компонентами служат алкоголяты некоторых химических элементов и органические олигомеры [2].

Сначала алкоголяты кремния (титана, циркония, алюминия или бора) подвергают гидролизу
 

Si(OR)4 + H2O ЬЮ  (OH)Si(OR)3 +ROH

(OH)Si(OR)3 + H2O ЬЮ (OH)2Si(OR)2 +ROH

(OH)2Si(OR)2 + H2O ЬЮ (OH)3Si(OR) +ROH

(OH)3Si(OR) + H2O ЬЮ Si(OH)4 +ROH,

а затем проводят реакцию поликонденсации гидроксидов

єSi-OR + HO-Siє ЬЮ  єSi-O-Siє + ROH

єSi-OH + HO-Siє ЬЮ  єSi-O-Siє + HOH.

В результате образуется керамика из неорганической трехмерной сетки. Поскольку золь-гель реакция, протекающая обычно в спиртовых растворах мономера и алкоголятов неорганического предшественника М(OR)n, не требует высокой температуры, в реакционные схемы удается включать органические соединения как в виде активных олигомеров, так и готовых полимеров.

В качестве органического компонента используют многие соединения (полистирол, полиимид, полиамид, полибутадиен и полиметилметакрилат) и в зависимости от условий реакции и содержания компонентов получают материалы с разной надмолекулярной организацией. Можно создать, скажем, высокодисперсные нанокомпозиты на основе полидиметилсилоксана и тетраэтоксисилана с включенными в неорганическую сетку олигомерами.

Вообще методов проведения золь-гель реакции несколько. Дж.Марк, например, предложил осуществлять гидролиз и конденсацию в набухшей полимерной матрице [3]. В ходе такой реакции образуются взаимопроникающие органическая и керамическая сетки, что обеспечивает уникальные механические свойства конечного материала.

Существует также метод синтеза, в котором полимеризация и образование неорганического стекла протекают одновременно [4]. За счет этого расширяется класс используемых мономеров, кроме того, при сушке конечного продукта не происходит заметной усадки, как в способе Марка.

Нанокомпозиты на основе полимеров и керамик сочетают в себе качества составляющих компонентов: гибкость, упругость, перерабатываемость полимеров и характерные для стекол твердость, устойчивость к износу, высокий показатель светопреломления. Благодаря такому сочетанию улучшаются многие свойства материала по сравнению с исходными компонентами. Такие нанокомпозиты еще не приобрели коммерческой ценности. Однако очевидно, что в ближайшее время они найдут применение в качестве специальных твердых защитных покрытий и для неорганических, и для полимерных материалов, а также как световоды и оптические волокна, адгезивы, адсорбенты и, наконец, как новые конструкционные материалы.

Слоистые нанокомпозиты. Их тоже создают на основе керамики и полимеров, но с использованием природных слоистых неорганических структур, таких как монтмориллонит или вермикулит, которые встречаются, например, в глинах [5]. Слой монтмориллонита толщиной ~1нм в ходе реакции ионного обмена насыщают мономерным предшественником с активной концевой группой (e-капролактамом, бутадиеном, акрилонитрилом или эпоксидной смолой), а затем проводят полимеризацию.


Слоистые нанокомпозиты на основе алюмосиликата и полимера
с низким его содержанием (справа вверху) и высоким.

Так получают слоистые нанокомпозиты с высоким содержанием керамики. Эти материалы характеризуются высокими механическими свойствами, термической и химической стабильностью. Но даже и небольшое количество алюмосиликата значительно улучшает механические и барьерные свойства полимера. Так, по сравнению с чистым полиимидом влагопроницаемость полиимидного нанокомпозита, содержащего всего 2 мас.% силиката, снижается на 60%, а коэффициент термического расширения — на 25%. Отметим, основная проблема при создании слоистых нанокомпозитов на основе глин и тому подобных керамик — обеспечить равномерное раскрытие слоистых структур и распределение мономера по материалу.

Нанокомпозиты, содержащие металлы или полупроводники

Эти материалы привлекают внимание прежде всего уникальными свойствами входящих в их состав кластеров, образованных разным количеством атомов металла или полупроводника — от десяти до нескольких тысяч. Типичные размеры такого агрегата — от 1 до 10 нм, что соответствует огромной удельной поверхности. Подобные наночастицы отличаются по свойствам (ширине полосы поглощения, спектральным характеристикам, электронному переносу) как от блочного материала, так и индивидуального атома или молекулы, причем полупроводниковые особенно сильно, даже если размер частицы достигает сотен нанометров. Так, при переходе от нанокристалла CdS к макрокристаллу ширина запрещенной зоны уменьшается от 4.5 до 2.5 эВ, время жизни на нижнем возбужденном уровне увеличивается от пикосекунд до нескольких наносекунд, от 400 до 1600°С повышается температура плавления [6]. Нелинейные оптические свойства нанокластеров позволяют создавать на их основе управляемые квантовые светодиоды для применения в микроэлектронике и телекоммуникации.
 

Заполнение электронных уровней в металле и полупроводнике. Энергетическая зона металла, независимо от размера его частиц, заполнена не вся, поэтому электроны могут переходить на более высокие уровни. У полупроводника же валентная зона заполнена целиком и отделена от зоны проводимости на 2—3 эВ. Из-за малых размеров полупроводниковых нанокристаллов эти зоны расщепляются, что приводит к эффективному увеличению ширины запрещенной зоны (до 4.5 эВ).

Наночастицы проявляют также суперпарамагнетизм и каталитические свойства [7]. При использовании кластеров металлов в качестве катализаторов наночастицы стабилизируют, например, в растворе с помощью поверхностно-активных соединений или на подложке из полимерной пленки. Несмотря на сравнительно невысокую термическую стабильность, полимерные материалы довольно часто служат матрицей, фиксирующей нанокластеры. В зависимости от того, какие свойства хотят придать конечному продукту, используют либо прозрачный полимер, либо проницаемый, либо электропроводящий и легко перерабатываемый.

Металлические (и полупроводниковые) нанокластеры можно приготовить по-разному: испарением или распылением металлов, восстановлением их солей и другими способами. В одной из первых работ кластеры серебра, золота или палладия размером 1—15 нм были диспергированы в пленку полистирола (или полиметилметакрилата) в ходе полимеризации жидкого мономера, в который предварительно осаждался металл из паров [8]. Судя по структурным исследованиям, металлические кластеры при этом объединяются в агломераты разной величины — вплоть до нескольких десятков нанометров. Похожую структуру имеют композитные пленки, полученные одновременным осаждением паров металла и плазменной полимеризацией бензола или гексаметилдисилазана [9].

Мы синтезировали полимерные металлсодержащие нанокомпозиты весьма технологичным способом — совместным осаждением паров металла и/или полупроводника и активного предшественника (пара-циклофана) с последующей его полимеризацией [10].

Молекулы п-циклофана, проходя через пиролизную зону ~600°С, превращаются в активный интермедиат, который осаждается на холодной подложке вместе с атомами металла или молекулами полупроводника. Затем в реакции термической полимеризации или фотополимеризации образуется поли-п-ксилилен (или его производные), а в полимерной матрице возникают неорганические наночастицы или кластеры размером от 1 до 20 нм (в зависимости от химической структуры предшественника и условий полимеризации). Частицы, характеризующиеся довольно узким распределением по размерам, в основном локализованы в аморфных областях полимера и организованы в сверхрешетку. А это обусловливает многие чрезвычайно важные электрофизические свойства нанокомпозита.


Схема получения нанокомпозиционных пленок (вверху)
и установка для проведения этого процесса. Х — разные заместители.

Такой способ имеет целый ряд преимуществ по сравнению с другими: он позволяет получать тонкие пленки, содержащие атомы разных металлов и других веществ (например, фуллерен С60); легко варьировать концентрацию компонентов; создавать нанокомпозиты высокой чистоты. Оказалось, что синтезированные этим методом нанокомпозиты на основе разных металлов или полупроводников и поли-п-ксилилена обладают необычными фотофизическими, магнитными, каталитическими и сенсорными свойствами. Примечательно, что все они, как выяснилось, определяются концентрацией неорганической составляющей. При низком содержании металла наночастицы не взаимодействуют между собой, поскольку разделены матрицей. В этом случае электросопротивление исследуемых пленок максимально — ~1012 Ом. Если концентрацию металла увеличить настолько, чтобы возникла перколяция – обмен зарядами между его наночастицами, сопротивление образцов может снизиться до 100 Ом.

Проведя не одну серию опытов, мы убедились, что металлсодержащие полимерные нанокомпозиты с такими крайними свойствами по-разному проявляют себя и в каталитических реакциях. В частности, при низком содержании палладия в композиционном материале в катализируемой этим металлом изомеризации 3,4-дихлорбутена цис-1,4-изомера образуется в 10 раз больше, чем транс-формы. (Заметим, такое же соотношение бывает в реакции, когда катализатором служит массивная пластинка палладия.) При высокой концентрации палладия выход транс-формы увеличивается втрое.

Поведение в магнитном поле нашего полимерного нанокомпозита проявляет сходный характер. Так, при высоком содержании в нем железа магнитосопротивление на 40% ниже, чем при низкой концентрации.

Проиллюстрируем еще и сенсорный эффект. Композитная пленка с наночастицами оксида свинца проявляет очень высокую чувствительность к аммиаку, содержащемуся в атмосфере [11]. В его присутствии электрическая проводимость пленки меняется на несколько порядков величины в области концентраций аммиака, измеряемых миллионными долями. Примечательно, что эти изменения обратимы: если аммиак удалить из атмосферы, проводимость пленки возвращается к исходной величине.
 

Изменение относительной электропроводности
пленки поли-п-ксилилена,
содержащей наночастицы оксида свинца,
в зависимости от содержания аммиака в атмосфере.

Продолжим рассказ о нанокомпозитах, содержащих металлы или полупроводники. Эти материалы создают еще несколькими способами. В одном из них органическую матрицу синтезируют из смеси полимеров или сополимеров с функциональными мономерами и после ее набухания вводят соль металла, которую затем восстанавливают, например, в атмосфере сероводорода [12]. К сожалению, полученные таким образом кластеры довольно сильно варьируют по размеру, что значительно снижает ценность метода.

Нанокомпозиционные материалы получают также на основе блоксополимеров, т.е. не одинаковых, а разных полимерных молекул. Соединяясь друг с другом, они образуют блок, или домен, многократно повторяющийся в полимерной цепочке. Каждый из доменов — это своеобразный реактор, в одной из микрофаз которого и возникают неорганические нанокластеры [13]. Их размеры, что очень важно, ограничены величиной такого реактора. Но не только в этом достоинство метода. Он позволяет получать разные надмолекулярные структуры в зависимости от химического строения блоксополимера и его состава [14]. В числе таких структур — ламеллярная, гироидная, колончатая, кубическая, перфорированная ламеллярная и двойная алмазная, причем две последние — в нестабильном состоянии, а остальные — в стабильном. Необходимо отметить, что по мере того, как увеличивается содержание в сополимере одного блока относительно другого, все больше возникает структур с повышенной кривизной поверхности наночастиц. Особый интерес представляют взаимопроникающие гироидная и двойная алмазная структуры, в которых микрофаза, обогащенная металлом или полупроводником, может формировать непрерывные взаимопроникающие сетки.
 

Надмолекулярные структуры, образующиеся в нанокомпозиционном материале при разном содержании блоков. Сплошными линиями обозначены стабильные состояния: L — ламеллярная фаза, G — гироидная, С — колончатая, S — кубическая; штриховыми — метастабильные: PL — перфорированная ламеллярная, D — двойная алмазная (Matsen M.W., Bates. 1996). Кривизна поверхности – это средняя величина для всех граней наночастиц каждой структуры.

Такой метод оказался эффективным при использовании двойного блоксополимера — из стирола и 2-винилпиридина [15]. В этом случае прозрачные пленки сополимера отливают из раствора, содержащего соли серебра, меди, кобальта или кадмия с последующим их восстановлением до чистого металла или его сульфидов. В результате образуются ламеллярные, колончатые и сферические структуры с регулируемым размером нанокластера.

Органическими компонентами для синтеза блоксополимера могут служить норборненовые мономеры, в один из которых внедряют ионы золота, серебра, кадмия или цинка [16]. Норборнены, будучи циклическими соединениями с двойной связью, отличаются высокой реакционной способностью. Под действием катализатора они подвергаются перегруппировке: 5-членный цикл молекулы раскрывается и образуется линейный полимер (такую реакцию называют метатезисом с раскрытием цикла).
 





Образование нанокристаллов ZnS в ходе реакции полимеризации норборненовых мономеров.
ROMP — реакция метатезиса с раскрытием цикла,
Ph — фенильный остаток, Me — метильный, Bu — бутильный.

В ходе реакции полимеризации одновременно образуются и домены металлов (или полупроводников) размером в несколько нанометров. Изменяя относительную длину полимерных блоков, можно создавать, как и предыдущим способом, неорганические структуры разной морфологии. Полученные материалы оптически прозрачны, высоко проницаемы для низкомолекулярных веществ, а потому пригодны для использования в качестве оптических и люминесцентных микроприборов, катализаторов и т.д.

Молекулярные композиты

В конце 70-х годов возникла идея создания молекулярных композитов, построенных из гибкой полимерной матрицы и жестких, тоже полимерных, волокон [17]. Ожидалось, что по сравнению с традиционными в этих композиционных материалах не будет внутренних дефектов в усиливающих жестких элементах, проявятся больший усиливающий эффект (за счет высокого отношения длины жесткого сегмента к его сечению) и высокая адгезия между матрицей и волокном, и другие преимущества. Все это могло обеспечить существенное улучшение механических и тепловых свойств материала при сохранении его перерабатываемости.

Фазовая диаграмма для системы, состоящей из молекул матрицы с гибкими цепями и полимера с жесткими стержнями. Смешение этих компонентов приводит к микрофазному разделению, причем объемная доля изотропной фазы (1) резко снижена в области больших длин жестких стержней (Flory P.J., Abe A. // Macromolecule. 1978. V.11. P.1122).

В начале 80-х годов молекулярные композиты уже пытались получать, смешивая растворы жесткого и гибкого полимеров (например, полибензо-бис-тиазола и полибензимидазола в метансерной кислоте или полиамидимида и полиэфиримида в диметилацетамиде), которые образовывали тройную систему [18]. Оказалось, что фазовое поведение полимерного раствора жестких стержнеобразных молекул и гибкой матрицы зависит от энтропии смешения. Если она неблагоприятна, происходит микрофазное разделение компонентов, резко уменьшается объемная доля изотропной фазы по мере увеличения длины жестких сегментов. В результате значительно снижается усиливающий эффект по сравнению с системами, в которых жесткие сегменты распределены по всему объему матрицы случайным образом.

Фазовое разделение можно подавить несколькими способами:

- включить в жесткую молекулу гибкие боковые группы, которые дополняли бы по химической структуре функциональные группы в гибком клубке. Это обеспечит благоприятную энтропию смешения и возникновение водородных связей между жесткими и гибкими сегментами;

- повысить энтропию смешения за счет использования близких по химической структуре компонентов;

- синтезировать материалы, в которых жесткие сегменты и гибкая матрица связаны химически.

Действительно, любой из этих способов повышает совместимость компонентов, создавая возможность для получения молекулярных композитов, но, на наш взгляд, последний наиболее перспективен. Именно третьим способом на основе полиимида и полиамида найлона-6 Ф.Харрис (Университет г.Акрон, США) синтезировал тройной блоксополимер [19].

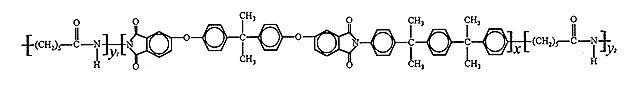
Мы изучили структуру и свойства этого сополимера и выяснили, что единичный блок построен из ковалентно связанных, как в молекуле, трех фрагментов — центрального полиимидного с жесткими цепями и примыкающих к нему по краям гибких полиамидных цепей.


Единичный блок тройного сополимера,
в центре которого находится полиимидный жесткий фрагмент,
а по краям к нему примыкают гибкие полиамидные цепи.

Контролируемая в процессе синтеза масса полиимидного фрагмента в исследуемых образцах составляла 12Ч103г/моль, а степень полимеризации — 14—15. Длина имидной части макромолекулы в наиболее вытянутой конформации не превышала 35—40 нм. Масса же полиамидных элементов была много больше — около 105 г/моль. Механические и теплофизические свойства материала оказались улучшенными по сравнению со свойствами исходных полимеров. Это обеспечивалось особенностями его структуры, а именно совмещением полиамидных и жестких полиимидных фрагментов в аморфных областях [20].

Интерес к молекулярным композитам чрезвычайно велик, и работы ведутся по разным направлениям: подбору смесей, поиску сополимеров, созданию материалов на основе аморфных и жидкокристаллических полимеров.

Отметим еще одно важное направление (развиваемое в разных лабораториях, в том числе и в нашей) — синтез “умных” полимерных наноматериалов [21]. В его основе лежит молекулярное распознавание и упорядочение составляющих элементов с последующей самосборкой функциональных надмолекулярных структур за счет слабых нековалентных взаимодействий — ван-дер-ваальсовых и электростатических сил, водородных связей и т.д.

В живом мире примеров подобной самоорганизации не перечесть, это и вирусы, и рибосомы, и белковые волокна, и мембраны, и ферментные комплексы. Все они не синтезируются целиком, а собираются из макромолекулярных субъединиц. Так, одинаковые белковые молекулы, взаимодействуя между собой за счет слабых сил, образуют геометрически регулярные структуры (спирали, кольца, гексагональные формы), которые упаковываются в плоские слои или трубки. Похожим образом можно реконструировать in vitro вирус табачной мозаики, просто смешав в растворе вирусные белок и РНК: сначала возникают белковые структуры в виде двойных колец, а затем они “нанизываются” на молекулу РНК. Так постепенно строится вирусная частица — длинный стержень, в котором спирально закрученная РНК заключена в цилиндр из одинаковых белковых молекул.

Можно было ожидать, что самоорганизация свойственна не только биополимерам, но и синтетическим макромолекулам. Эту идею удалось подтвердить В.Перчеку, который смоделировал процессы самосборки, характерные для вируса табачной мозаики. Однако он использовал в экспериментах не вирусный белок, а соединения на основе производных галиковой кислоты, имеющие жесткие секторообразные фрагменты в боковых цепях. С начала 90-х годов мы начали исследования этого же класса соединений и убедились, что некоторые из них способны к самосборке в надмолекулярные цилиндры, которые в свою очередь организуются или в двумерную упорядоченную, или неупорядоченную жидкокристаллическую колончатую фазу. Изучив температурное поведение этих надмолекулярных структур, мы определили основные этапы и условия их формирования. Исследования самоорганизующихся химических систем продолжаются и приносят интересные результаты.

Заметим, “умные” материалы чувствительны к разным внешним воздействиям — химическому составу окружающей среды, изменениям температуры и давления, электрического или магнитного поля и т.д. А значит, они могут найти широкое практическое применение.

Безусловно, нанокомпозитам принадлежит будущее, надеемся, скорое. Но современная надмолекулярная химия уже создает еще более совершенные материалы — молекулярные композиты.
 

Работа выполнена при поддержке Российского фонда фундаментальных исследований. Грант 97-03-32768.
 
 

Литература

1 Ichinose N. et al. Superfine Particle Technology. London, 1992.

2 Brinker C.J., Scherer G.W. Sol-Gel Science. Boston, 1990.

3 Mark J.E. Frontiers of Macromolecular Science / Eds T.Saegusa, T.Higashimura, A.Abe. Oxford, 1989.

4 Novak B.M., Davis C. // Macromolecules. 1991. V.24. P.2481—2483.

5 Kelly P., Akelah A., Moet A. // J. Mater. Sci. 1994. V.29. P.2274—2280.

6 Vossmeyer T., Katsikas L., Giersig M., Popovic I. // J. Chem. Phys. 1994. V.98. P.7665—7673.

7 Barthelemy A., Fert A., Morel R., Steren L. // Phys. World. 1994. V.7. P.34—38; Satterfield C.N. Geterogeneous Catalysis in Industrial Practice. 2nd ed. N.Y., 1991.

8 Klabunde K.J., Habdas J., Cardenas-Trivino G. // Chem. Mater. 1991. B.5. S.947—952.

9 Heilmann A., Hamann C. // Progr. Colloid Polym. Sci. 1991. V.85. P.102—112.

10 Gerasimov G.N., Sochilin V.A., Chvalun S.N. et al. // Macromol. Chem. Phys. 1996. V.197. P.1387—1393; Hopf H., Gerasimov G.N., Chvalun S.N. et al. // Adv. Mater. 1997. V.3. P.197—201; Nikolaeva E.V., Ozerin S.A., Grigoriev E.I. et al. // Mat. Sci. Eng. C-Bio. 1999. V.8—9. P.215—223.

11 Герасимов Г.Н., Григорьев Е.И., Григорьев А.Е. и др. // Хим. физика. 1998. Т.17. С.168—173.

12 Mahler W. // Inorg. Chem. 1988. V.27. P.435—436.

13 Rempp P., Merrill E.W. Polymer Synthesis (2nd ed.). N.Y., 1991; Volkov A.V., Karachevtsev I.V., Moskvina M.A. et al. // J. Inorg. and Organometallic Polymers. 1995. V.5. P.295—305.

14 Hajduk D.A., Harper P.E., Gruner S.M. et al. // Macromolecules. 1995. V.28. P.2570—2573; Matsen M.W., Bates F.S. // Ibid. 1996. V.29. P.7641—7644.

15 Moller M., Lentz D.W. // Macromol. Chem. 1989. V.190. P.1153—1168.

16 Chan Y.N. C., Schrock R.R., Cohen R.E. // J. Am. Chem. Soc. 1992. V.114. P.7295—7296.

17 Helmimiak T.E., Arnold F.E., Benner C.L. // ACS Polym. Prepr. 1975. V.16. P.659—662.

18 Hwang W.F., Wiff D.R., Verschoore C. // Polym. Eng. Sci. 1983. V.23. P.789—791.

19 Ding H., Harris F.W. // Pure and Appl. Chem. 1997. V.67. P.1995—2004.

20 Неверов В.М., Чвалун С.Н., Blackwell J. и др. // Высокомолекуляр. соединения. А. 2000. Т.42. С.450—461.

21 Israelashvili J.N. Intermolecular and Surface Forces. N.Y., 1992; Schneider H.J., Durr H. Frontiers in Supramolecular Organic Chemistry and Photochemistry. N.Y., 1991; Chvalun S.N., Blackwell J., Cho J. // Polymer. 1998. V.39. P.4515—4522; Чвалун С.Н., Kwon Y. Blackwell J., Percec V. // Высокомолекуляр. соединения. А. 1996. Т.38. С.1978—1990.





Июнь 2000