ПРИРОДА
№6, 2004 г.

© Хаин В.Е.

Разгадка, возможно, близка

О причинах великих вымираний и обновлений органического мира

В. Е. Хаин

Виктор Ефимович Хаин, академик РАН, засл. проф. геофака МГУ им.М.В.Ломоносова.

В этом году Виктору Ефимовичу исполнилось 90 лет.
Журнал  "Природа"  и библиотека "VIVOS VOCO" поздравляют юбиляра
и желают ему здоровья, благополучия и новых публикаций.

Одна из крупных проблем естествознания, общая для геологических и биологических наук, - причины, периодически вызывавшие массовые вымирания живых организмов и соответствующие обновления состава органического мира *.

* Более подробно история разработки данной проблемы рассмотрена в 11 главе моей книги [1], но здесь использованы данные, полученные уже после ее публикации.
Подобные события имели место на рубеже венда и кембрия, ордовика и силура, перми и триаса, триаса и юры, мела и палеогена. В конце венда первая в истории Земли биота мягкотелых беспозвоночных сменилась первой фауной, обладавшей минеральным скелетом. На рубеже перми и триаса произошло самое существенное (на 85%) обновление морских организмов, а на рубеже мела и палеогена погибли динозавры, господствовавшие на Земле более 150 млн лет. Следует подчеркнуть обстоятельство, не всегда привлекающее к себе должное внимание, - любое великое вымирание сопровождалось не менее великим обновлением. Так, после гибели древних земноводных и пресмыкающихся на рубеже триаса и юры их экологическую нишу заняли динозавры, расцвет которых произошел в юре и мелу, а вымирание динозавров способствовало восхождению млекопитающих и установлению их господства в кайнозое. Примечательно, что границы между палеозойской и мезозойской, мезозойской и кайнозойской эрами (совпавшие с временем великих вымираний) были намечены геологами уже к середине XIX в., когда никаких сколько-нибудь точных данных о масштабах приуроченных к ним обновлений органического мира еще, естественно, не существовало.
 
Массовые вымирания органического мира в фанерозое.

Цветными стрелками показано время великих вымираний [10, с дополнениями автора].

Каковы причины столь важных событий? На этот счет были выдвинуты многочисленные гипотезы (более двадцати, по подсчету А.С.Алексеева). Широко распространено мнение, что такой причиной стало существенное изменение физико-географических и климатических условий на поверхности Земли: распределения суши и моря, химического состава морской воды и атмосферы, температурного режима и др. Действительно, все эпохи вымирания отмечены значительными вариациями отношений изотопов кислорода, углерода, стронция и серы в осадочных породах соответствующего времени. Однако речь должна идти о резких и кратковременных изменениях среды обитания биоты, а это требует привлечения факторов, которые могли бы вызвать наступление экстремальных условий. Таких факторов (и соответствующих им гипотез) выдвинуто в основном два - крупномасштабные вулканические извержения (вулканическая гипотеза) и столкновения с Землей крупного астероида или кометы (импактная гипотеза). Именно они привлекли внимание исследователей в последние десятилетия.

Основной аргумент в пользу вулканической гипотезы, наиболее полно обоснованной французским геофизиком В.Куртийо с коллегами [2], - совпадение великих вымираний во времени с массовыми излияниями платобазальтов, образующих трапповые поля. Показательно в этом отношении точное совпадение великого пермско-триасового вымирания с образованием самой крупной в мире Тунгусской трапповой провинции и одновозрастных ей траппов Эмейшань в юго-восточном Китае, а также мел-палеогенового вымирания с образованием крупной Деканской трапповой провинции Индостана. Подобные вулканические излияния, дающие огромный объем продуктов извержений, в том числе газов, выделяющихся в атмосферу, происходили за очень короткий в геологическом масштабе промежуток времени, около 1-3 млн лет.

Импактная гипотеза стала популярной с легкой руки американских ученых: физика - отца и геофизика - сына Л. и У.Альваресов [3], обнаруживших в Италии в пограничном между мелом и палеогеном слое необычно высокое для земных осадочных пород содержание иридия. Гипотеза получила почти всеобщее признание после открытия на п-ове Юкатан в Мексике крупного погребенного ударного кратера (астроблемы) Чиксулуб, возраст которого оказался соответствующим (потом выяснилось, что, возможно, не вполне точно) именно этому стратиграфическому рубежу - 65 млн лет назад. В дальнейшем на том же уровне в разных местах, и прежде всего в Мексикано-Карибском регионе, в осадках находили характерные следы метеоритно-кометных бомбардировок - скопления сферул (стекловидных шариков, рассматриваемых как выброшенные в атмосферу застывшие капли ударного расплава) и так называемых шоковых минералов с мелкими параллельными трещинами - кварца и некоторых других. Российскими учеными было установлено, что такой же возраст имеет и Карская астроблема на обращенном к Карскому морю склоне хребта Пай-Хой.

Изменения природной среды, обусловленные импактным событием типа Чиксулубского и вызвавшие, в свою очередь, кризис органического мира, графически суммированы Д.А.Крингом [4] из Аризонского университета США на воспроизводимой здесь диаграмме. На ней показана также длительность таких изменений.

Относительная временная шкала для некоторых пертурбаций среды,
вызванных Чиксулубским импактным событием [4].

Помимо мел-неогенового рубежа прямые (кратеры) или косвенные следы импактных событий во все возрастающей степени обнаруживаются и на других стратиграфических (и геохронологических) рубежах, где констатированы великие вымирания и обновления биоты, в том числе и на самом важном - пермско-триасовом. Следы мощного импакта такого возраста с обильным выделением серы выявлены в Китае. Они заставили предположить падение астероида в океан с образованием кратера диаметром в 300-600 км. Сейчас на Земле открыто более 150 подобных астроблем, причем две в мировом океане - в Чезапикском заливе в Атлантике и в Баренцевом море. А продукты импактного воздействия установлены в осадках всех возрастов, от позднеархейских до четвертичных. Несмотря на убедительность данных, вулканическая гипотеза не теряет своей привлекательности. Оказалось, что вулканизм производит сходное воздействие на окружающую среду.

В связи с этим большой интерес представляют недавние публикации исследовательницы из Принстонского университета США Г.Келлер [5], изучившей ряд естественных разрезов пограничных между мелом и палеогеном отложений, а также керн пробуренной в кратере Чиксулуб скважины. Она пришла к выводу, что удар, породивший этот кратер, имел место за 300 тыс. лет до мел-палеогенового рубежа. Импактные брекчии перекрываются слоем мергеля, содержащим позднемаастрихтские планктонные фораминиферы. В самих позднемаастрихтских отложениях за пределами кратера обнаружен слой со сферулами, который, по геохимическим данным, и может соответствовать чиксулубскому импакту.

Но на самой границе мела-палеогена также присутствует слой со сферулами и, кроме того, - знаменитая иридиевая аномалия. Проведенное изучение керна скважин, пробуренных на Восточно-Индийском хребте, показало, что с вулканизмом, создавшим траппы Декана и начавшимся в позднем маастрихте, здесь совпадает изменение состава фораминифер, аналогичное наблюдаемому в Мексикано-Карибском регионе. Все это привело Келлер к заключению, что кризис органического мира в конце мелового периода был связан, во-первых, не с единичным, а с целой серией импактов и, во-вторых, с изменениями среды, вызванными не только ими, но и вулканизмом.

Однако высказанные Келлер и ее сотрудниками соображения относительно двух отдельных ударных событий вызвали резкие и, видимо, обоснованные возражения со стороны голландского ученого Я.Смита [6], так же изучавшего керн пробуренной в кратере Чиксулуб скважины и кроме того ссылающегося на выдержанность на огромном расстоянии вдоль фронта Скалистых гор слоя со сферулами и шоковыми минералами.

Но были ли метеоритно-астероидно-кометные бомбардировки и массовые излияния платобазальтов независимыми явлениями, случайно совпадавшими во времени и в случае таких совпадений приводившими к фатальным для живых организмов последствиям? Или между ними могла наблюдаться какая-то связь?

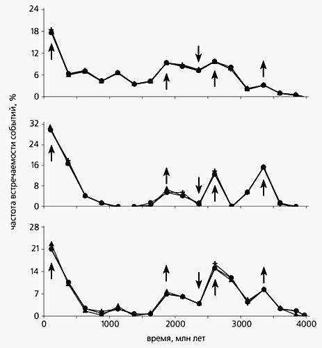
На указанное совпадение впервые, по-видимому, обратил внимание американский ученый М.Рампино еще в 1987 г. [7]. Совсем недавно проблема была серьезно изучена Д.Эбботт и Э.Айсли [8], двумя американскими же исследователями из Нью-Йорка. Они провели статистический анализ распространения во времени как импактных событий, так и проявлений активности мантийных плюмов, выраженной не только в образовании платобазальтовых, трапповых полей, но и крупных дайковых роев, стратиформных основных-ультраосновных интрузий и магматитов с повышенным содержанием MgO. В итоге проведенного статистического сопоставления, авторы получили коэффициент корреляции между всеми мантийными плюмами и импактными событиями, равный 0.9, и между наиболее интенсивными плюмами и импактами - 0.97. Отсюда следует, что временную связь между этими феноменами можно теперь считать доказанной. Но каковы их причинно-следственные соотношения?

Уже априори представляется очевидным, что именно импакты стимулируют активизацию плюмов. Активизацию, а не само их появление, поскольку, например, лавы Декана начали изливаться еще до Чиксулубского события, но максимум их извержения наступил уже после. Далее возникает самый трудный вопрос - каков же механизм воздействия импактов на плюмы?

Пытаясь на него ответить, Эбботт и Айсли предлагают три версии. Первая допускает, что импакты вызывают образование трещин и разрядку напряжений в коре и тем самым позволяют расплавам, скопившимся под непроницаемой покрышкой, подняться к поверхности. Согласно второй версии, удары могут продуцировать крупные трещины на поверхности Земли, образуя новые границы плит с утоненной литосферой и более длинными колоннами расплава. По третьей версии, импакты продуцируют микродайки на границе мантии и ядра, и поскольку такие дайки очень тонкие, капиллярные силы могут способствовать смешению расплавов из ядра и мантии. Это приводит к увеличению притока тепла из ядра и плавлению мантии, тем самым повышая интенсивность плюмовой деятельности.

На мой взгляд, третья версия слишком искусственна и наиболее предпочтительна первая, возможно в сочетании со второй. Трещины могут перерастать в рифты, а рифты в оси спрединга, к которым действительно приурочены многие плюмы.

Но остается еще один, не менее, если не более трудный вопрос. С чем связана определенная периодичность метеоритно-астероидно-кометных бомбардировок Земли? В той же работе Эбботт и Айсли показывают, что для последних 250 млн лет (для мезозоя и кайнозоя) эта периодичность составляет 32-36 млн лет, т.е. она отвечает циклам Штилле, выделенным мною и разделяющим так называемые орогенические фазы.

Решение вопроса зависит прежде всего от того, откуда к нам приходят метеориты, астероиды и кометы - из ближнего Космоса (т.е. нашей Солнечной системы и ее ближайших окрестностей) или из дальнего Космоса (из нашей галактики). Вообще говоря, появление ближних пришельцев не вызывает сомнений (например, марсианские метеориты, найденные в Антарктиде), но и дальнее галактическое происхождение их также вероятно. При этом периодичность появления последних объяснить легче - например, с позиций галактоцентрической концепции А.А.Баренбаума [9]. Согласно ей, наша Солнечная система при своем обращении по галактической орбите периодически пересекает струйные потоки кометного вещества, исторгаемые из центра Галактики. Все это, разумеется, весьма гипотетично, но пока ничего лучшего не придумано.

Итак, можно констатировать следующее. Причина периодических массовых вымираний и великих обновлений органического мира в истории Земли, весьма вероятно, - совместное проявление импактного воздействия на Землю космических тел - крупных метеоритов, астероидов, комет и порожденных мантийными плюмами мощных извержений платобазальтов и родственных им магматитов. Можно считать практически доказанным, что высокую активность плюмов стимулировало именно импактное воздействие на твердую Землю, но механизм этого воздействия пока остается неясным. Скорее всего, речь может идти об образовании разрывов в литосфере, способствующих подъему плюмовых расплавов к поверхности. Происхождение метеоритно-астероидно-кометного материала остается еще более проблематичным, как и причина периодичности его поступления на поверхность нашей планеты.

Пытаясь на него ответить, Эбботт и Айсли предлагают три версии. Первая допускает, что импакты вызывают образование трещин и разрядку напряжений в коре и тем самым позволяют расплавам, скопившимся под непроницаемой покрышкой, подняться к поверхности. Согласно второй версии, удары могут продуцировать крупные трещины на поверхности Земли, образуя новые границы плит с утоненной литосферой и более длинными колоннами расплава. По третьей версии, импакты продуцируют микродайки на границе мантии и ядра, и поскольку такие дайки очень тонкие, капиллярные силы могут способствовать смешению расплавов из ядра и мантии. Это приводит к увеличению притока тепла из ядра и плавлению мантии, тем самым повышая интенсивность плюмовой деятельности.

Статистический анализ распространения во времени импактных событий и проявлений активности мантийных плюмов [8].

Суммирование данных осуществлялось с шагом 250 млн лет. Треугольниками, кружками и крестиками показаны данные, полученные с минимальными ошибками в 45, 30 и 15 млн лет соответственно. В большинстве случаев все три кривые настолько близки друг к другу, что только кружки ясно видны на графиках. Стрелки показывают четыре совпадающих положительных пика и один отрицательный, которые четко проявляются на всех графиках. а - все мантийные плюмы (число определений возраста N=600); б - крупные (с кратерами диаметром >11 км) импактные события (N=73); в - крупные мантийные плюмы (N=131).

На мой взгляд, третья версия слишком искусственна и наиболее предпочтительна первая, возможно в сочетании со второй. Трещины могут перерастать в рифты, а рифты в оси спрединга, к которым действительно приурочены многие плюмы.

Но остается еще один, не менее, если не более трудный вопрос. С чем связана определенная периодичность метеоритно-астероидно-кометных бомбардировок Земли? В той же работе Эбботт и Айсли показывают, что для последних 250 млн лет (для мезозоя и кайнозоя) эта периодичность составляет 32-36 млн лет, т.е. она отвечает циклам Штилле, выделенным мною и разделяющим так называемые орогенические фазы.

Решение вопроса зависит прежде всего от того, откуда к нам приходят метеориты, астероиды и кометы - из ближнего Космоса (т.е. нашей Солнечной системы и ее ближайших окрестностей) или из дальнего Космоса (из нашей галактики). Вообще говоря, появление ближних пришельцев не вызывает сомнений (например, марсианские метеориты, найденные в Антарктиде), но и дальнее галактическое происхождение их также вероятно. При этом периодичность появления последних объяснить легче - например, с позиций галактоцентрической концепции А.А.Баренбаума [9]. Согласно ей, наша Солнечная система при своем обращении по галактической орбите периодически пересекает струйные потоки кометного вещества, исторгаемые из центра Галактики. Все это, разумеется, весьма гипотетично, но пока ничего лучшего не придумано.

Итак, можно констатировать следующее. Причина периодических массовых вымираний и великих обновлений органического мира в истории Земли, весьма вероятно, - совместное проявление импактного воздействия на Землю космических тел - крупных метеоритов, астероидов, комет и порожденных мантийными плюмами мощных извержений платобазальтов и родственных им магматитов. Можно считать практически доказанным, что высокую активность плюмов стимулировало именно импактное воздействие на твердую Землю, но механизм этого воздействия пока остается неясным. Скорее всего, речь может идти об образовании разрывов в литосфере, способствующих подъему плюмовых расплавов к поверхности. Происхождение метеоритно-астероидно-кометного материала остается еще более проблематичным, как и причина периодичности его поступления на поверхность нашей планеты.

Литература

1. Хаин В.Е. Основные проблемы современной геологии. М., 2003.

2. Courtillot V., Jaeger J.I., Yang Z., Feraud G., Hoffmann C. The influence of continental flood basalts on mass extinctions: where do we stand? // The Cretaceous-Tertiary event and other catastrophes in Earth history. Spec. Pap. 307. GEOl. Soc. Amer., Boulder, CO. 1996. P.513-525.

3. Alvarez L.W., Alvarez W., Asaro F., Michel H.V. // Science. 1980. V.208. P.1095-1108.

4. Kring D.A. // GSA Today. 2000. №8. P.1-7.

5. Keller G. // Earth Planet. Sci. Lett. 2003. V.215. P.249-264.

6. Smit J. // GEOscientist. 2004. V.14. №1. Р.8-13.

7. Rampino M.R. // Nature. 1987. V.327. P.468.

8. Abbot D.H., Isley A.E. // Earth Planet. Sci. Lett. 2002. V.205. P.53-62.

9. Баренбаум А.А., Хаин В.Е., Ясаманов Н.А. // Вестн. МГУ. Серия геол. 2004. №2. С.16.

10. Алексеев А.С. // Вест. МГУ. Серия: геол. 2000. №5. С.6-14.
 




Июнь 2004