ЖУРНАЛ «ПРИРОДА»
№6, 2003 г.

© Л.М. Эпштейн, Е.С. Шубина

Многоликая водородная связь

Л.М. Эпштейн, Е.С. Шубина

Лина Мееровна Эпштейн, - доктор химических наук, профессор,
ведущий научный сотрудник Института элементоорганических соединений им. А.Н. Несмеянова РАН.

Елена Соломоновна Шубина, доктор химических наук,
руководитель группы гидридов металлов того же института.

Усилия многих поколений химиков-синтетиков были направлены на получение новых соединений за счет разрыва одних химических связей и последующего образования новых. Но не меньший интерес они проявляли к водородной связи, которая появляется не в результате синтеза, а возникает при подходящих условиях сама, как аромат у заботливо выращенного и распустившегося цветка.

Водородная связь, о которой пойдет речь, имеет глобальный характер, ее терпкий аромат буквально пронизывает всю химию. К настоящему времени учение о водородной связи представляет собой крупную главу в химической науке.

Связь слабая, но не бессильная

Отличительная черта водородной связи - сравнительно низкая ее энергия, она почти на порядок ниже энергии химической связи и занимает промежуточное положение между химическими связями и ван-дер-ваальсовыми взаимодействиями, которые удерживают молекулы в твердой или жидкой фазе (рис.1).


Рис. 1. Энергия трех типов связи.
Видно, что энергия водородной связи много меньше, чем химической,
но почти на порядок превышает энергию ван-дер-ваальсовых взаимодействий.

Само понятие и термин "водородная связь" ввели В.Латимер и Р.Родебуш в 1920 г., чтобы объяснить высокие температуры кипения воды, жидкого HF и некоторых других соединений. Вначале полагали, что водородная связь (Н-связь) возникает в том случае, когда атом водорода в молекуле соединен с элементом, имеющим высокую отрицательность, как правило с элементом второй группы (кислородом, азотом, фтором). Водород при этом приобретает частичный положительный заряд, благодаря чему притягивает другую молекулу, также содержащую электроотрицательный элемент. Таким образом, в образовании Н-связи участвуют три атома: два электроотрицательных (А и Б) и находящийся между ними атом водорода - Б---Нd+d- (водородную связь обычно обозначают пунктирной линией). Атом А условно называют донором протона, а Б - его акцептором (условно, потому что истинного "донорства" может и не быть, нередко Н остается химически связанным с А). Согласно современной точке зрения, в образование Н-связи помимо электростатических сил большой вклад вносит поляризация партнеров и частичный перенос заряда. Иногда А и Б - атомы одного и того же элемента, например кислорода в молекуле воды.

Н-связи охватывают громадное количество разнообразных веществ, они заметно усиливают ассоциацию молекул в твердой либо жидкой фазе, что приводит соответственно к повышению температуры плавления или кипения. Расчет показывает, что если бы водородные связи не существовали, температура кипения воды была бы на 200° ниже.

Гидроксильные группы, расположенные по всей длине полимерной молекулы целлюлозы, приводят к столь мощной межмолекулярной ассоциации, что растворить этот полимер удается лишь в довольно экзотическом высокополярном растворителе - реактиве Швейцера.

Н-связи, возникающие между карбонильными и аминогруппами >С=О---Н-N<, формируют кристаллическую структуру полиамидов и полиуретанов, определяют также структуру белков, нуклеиновых кислот и других биологически важных молекул. В некоторых технологических процессах, скажем адсорбции и экстракции, участие водородных связей исключительно важно. Они оказывают влияние на многие химические реакции, например, их образование может предшествовать переносу протона от одной молекулы к другой.

Исследования взаимодействий элементоорганических соединений с донорами протонов открыли новую страницу в учении о водородных связях.

Как обнаружить водородную связь?

Помимо косвенных способов выявления водородной связи (повышение tкип и др.) существуют более конкретные и информативные методы, прежде всего спектральные, такие как инфракрасная (ИК) и ЯМР-спектроскопия.

Первый метод позволяет удовлетворить естественную потребность каждого пытливого ума подергать и пошевелить подвижную конструкцию. При рассмотрении спектральных свойств химической связи ее можно уподобить упругой пружинке (рис.2). В любом соединении частота колебаний каждой группировки атомов зависит от их массы и упругости связывающих пружинок, иными словами, от природы химической связи. Чтобы выявить Н-связь, исследователь должен выбрать группировку и вид колебаний, наиболее информативные для этой цели. Чаще всего обращают внимание на частоту валентных колебаний А-Н-связей, а также на изменение частоты колебаний группы Б.


Рис. 2. Модель комплекса трифторуксусной кислоты с акцептором протона.

При исследовании Н-связей информативна также ЯМР-спектроскопия. Изменение химического сдвига d-протона и его спин-спиновое взаимодействие с соседними ядрами позволяют определить некоторые параметры этой связи.

Анализируя ИК- и ЯМР-спектры, исследователь видит отчетливый след, который оставляет Н-связь, и по его "отпечатку" может не только установить сам факт присутствия этой связи, но и количественно оценить энергетические и структурные характеристики.

Новый поворот

Планомерными исследованиями круг акцепторов протона был заметно расширен; выявлена способность некоторых элементов с пониженной, в сравнении с элементами второго периода, электроотрицательностью (например, S, P, As и др.) включаться в подобные взаимодействия. Общий признак акцепторных центров - наличие неподеленной пары электронов. Это привело к мысли, что в образование водородных связей можно вовлечь атомы металлов. Из общих соображений было понятно, что к образованию Н-связи в роли акцепторов протонов должны быть склонны комплексы переходных металлов. Эксперименты показали, что наиболее охотно участвуют в подобном альянсе комплексы металлов VI-VIII групп [1].

Мы выбрали сначала комплекс иридия, а в качестве донора протонов - трифторуксусную кислоту (CF3COOH) и наблюдали за превращениями в системе при разных температурах. Индикатором превращений послужила полоса в ИК-спектрах, соответствующая колебаниям карбонильной группы C=O в трифторуксусной кислоте (рис.3). На первой стадии возникает Н-связь с атомом металла, на что указывает полоса валентных колебаний n=1730 см-1 в комплексе I (та же группировка без Н-связи имеет заметно более высокую частоту колебаний: n=1780-1800 см-1). При понижении температуры металл протонируется и образуется обычная s-связь М-Н. Все превращения обратимы, протон как бы зажат между двумя пружинками и может передвигаться влево либо вправо в зависимости от температуры. Металлокомплекс II, принимая протон, становится катионом.

Рис. 3. Схема реакции, отражающая участие иридия в образовании Н-связи, и ИК-спектры двух возникающих комплексов. В середине приведена их модель, из которой видно, что пружинка, изображающая Н-связь, длиннее той, которая соответствует обычной химической связи. Нестандартная водородная связь здесь и на следующих схемах показана звездочками.
На первый взгляд комплекс II - это обычное ионное соединение (как NaCl). Однако здесь водород преподносит очередной сюрприз: перейдя к металлу, он сохраняет свою постоянную тягу к различным акцепторам. А поскольку таковой (анион кислоты) оказался рядом, образует Н-связь нового типа, "стягивающую" ионную пару. В комплексе II на это отчетливо указывает положение полосы карбоксильной группы -COО- n=1700 см-1. Наблюдаемая величина выше той, которая характерна для аниона -OOCCF3 (1685 см-1). Сдвиг указывает, что анион участвует в образовании водородной связи, но нестандартной.

Ранее мы упоминали, что выбор металлокомплексов, взятых для исследования, не был случайным. Точно так же при выборе донора протона (молекулы Нd+d-) мы учитывали ряд факторов. Обычный спирт ROH - слабый донор, в результате реакция останавливается на стадии первичного образования
Н-связи: М---Нd+d-. Сильная кислота CF3COOH приводит к легкому переносу протона на металлокомплекс, поэтому не удается зафиксировать некоторые промежуточные стадии (см. рис.3). Экспериментально мы смогли отыскать доноры "средней силы" - CF32OН (трифторэтанол), (CF3)2CHOH (гексафторизопропанол) и некоторые другие. Такие доноры позволили превратить исследуемую систему в регулируемую, после чего можно было не только фиксировать все переходы протона, но и оценивать энергетические параметры превращений.

Таким образом, в нашем распоряжении оказались три рычага, чтобы управлять механизмом перемещения водорода: особенности строения металлокомплекса, химическая природа донора протонов и температура.

Водород самодостаточен

Еще более необычные, по сравнению с только что описанными, превращения можно наблюдать в том случае, если на роль акцептора (атома Б) назначить сам водород, для чего необходимо создать на нем отрицательный заряд [2]. Именно это реализуется в гидридах металлов Мd+d- (такой водород и называют гидридным).

В наших исследованиях комплекс рутения, содержащий гидридный водород, был способен образовывать Н-связь с донором протона (CF3)2CHOH. В результате возникал необычный водородный мостик, где двуликий водород сам с собой организовывал Н-связь: Мd+d----Нd+d- (рис.4). Однако то была лишь первая стадия превращений. Очевидно, что пара стоящих рядом атомов водорода Нd----Нd+ представляет собой заготовку для нейтральной молекулы Н2, и, разумеется, водород не упускает предоставленной возможности. В итоге молекула перестраивается, Н-связь исчезает и возникает комплекс, содержащий новый лиганд - молекулярный водород [3]. Следить за происходящими превращениями позволяет полоса валентных колебаний карбонильного лиганда -С=О. Этот лиганд - удобный спектральный индикатор при переносе протона, так как исключительно чувствителен к изменениям, происходящим в молекуле металлокомплекса. Интересно, что в данном случае возникшая ионная пара также стабилизируется нестандартной Н-связью между анионом и лигандом - молекулярным водородом.


Рис. 4. Возникновение, дальнейшие превращения диводородной связи
и ИК-спектры комплексов рутения.

Все превращения обратимы: при низкой температуре равновесие смещено в сторону образования комплекса с молекулярным водородом, о чем свидетельствует увеличение интенсивности полосы в области 2020 см-1) для комплекса III; при повышении температуры равновесие сдвигается к исходному соединению, на это указывает увеличение интенсивности полосы 1920 см-1 исходного гидридного комплекса I. Промежуточное соединение - диводородный комплекс II (полоса 1950 см-1) - в зависимости от температуры плавно переходит либо в исходное, либо в конечное соединение (полоса 2020 см-1) [3].

Детально изучив межмолекулярную диводородную связь, по данным спектров ЯМР-1Н и рентгеноструктурного анализа мы установили, что расстояние Нd----Нd+ зависит от структуры комплекса и находится в диапазоне 1.7-1.9 А. Эта величина меньше суммы ван-дер-ваальсовых радиусов двух атомов водорода (2.4 А), что подтверждает существование такой связи [4].

По интенсивности полос ИК-спектров мы вычислили константы равновесия для каждой стадии, а так как константы зависели от температуры, нам удалось определить энтальпию образования каждого соединения. Для комплекса II c диводородной связью она составила 31 кДж/моль, для комплекса III с молекулярным водородом - 36.5 кДж/моль. Таким образом, необычная диводородная связь совсем не слабая, ее образование вносит значительный вклад в энергию всего процесса [5].

Можно сказать, что обсуждаемая нами связь - явление в некотором роде экзотическое, характерное для гидридных комплексов и не имеющее аналогов в органической химии.

Все существующие к настоящему времени литературные данные показывают, что водородная связь охватывает самые разнообразные превращения с участием широкого набора химических элементов [4].

Прогулки водорода по металлокомплексам

Теперь, когда мы в общих чертах познакомились с характером протона, попробуем найти логику в его поведении. При взаимодействии с металлокомплексом, содержащим разные лиганды, непоседливый протон каждый раз решает, следует ли ему направиться в первую очередь к металлу или к лиганду, и к какому именно.

Чтобы проследить за движением протона, упростим систему, будем менять лиганды у металла, оставив неизменными сам металл и протонодонор (рис.5). Выбрав донор протона средней силы (перфтор-трет-бутанол), мы смогли зафиксировать переходные стадии [6].

Рис. 5. Влияние разных лигандов на направление реакции.

Если в комплексе рения присутствует лиганд с высокой акцепторной способностью, например Cl-, протон в первую очередь направляется к нему (рис.5, схема 1). Затем, при избытке протонного донора, возникает диводородная связь с участием гидридного водорода. Если Cl- отсутствует, два гидридных водорода один за другим образуют такую же связь (рис.5, схема 2). Теперь заменим метильные группы в фосфиновых лигандах этильными. В комплексе с такими лигандами Н-связи могут возникать как с NО, так и с одним из гидридных водородов (рис.5, схемы 3 и 4). Второй же вовлекается в образование связи лишь при избытке донора.

В рассмотренных случаях мягкий донор протона доводит реакцию до появления водородной связи. Однако с участием того же донора можно процесс провести глубже, если за счет лигандов увеличить акцепторные свойства комплекса. Тогда вначале возникают Н-связи, а при понижении температуры либо образуется комплекс с молекулярным водородом (рис.5, схема 5), либо протонируется металл (рис.5, схема 6) [7, 8].

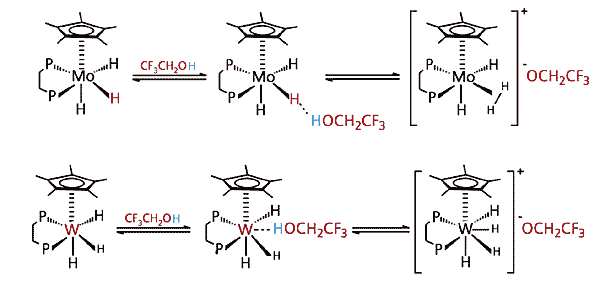
Системой можно управлять, меняя не только лигандное окружение, но и атом металла в комплексе. Так, если это молибденовый комплекс, то он содержит гидридные водороды с довольно высокой основностью. Поэтому легко образуется диводородная связь (рис.6). Если молибден заменить вольфрамом, имеющим большую основность, гидридные водороды не выдержат конкуренции, и предпочтительным окажется образование Н-связи с металлом (рис.6).


Рис. 6. Влияние металла на направление реакции.

Перестраивание молекул, напоминающее картинки в калейдоскопе, интересно не только само по себе, оно приводит к важным выводам. Протон - уникальный химический реагент, представляющий собой элементарную частицу, размеры которой в несколько тысяч раз меньше любого атома. Всепроникающая способность протона превращает его в тонкий исследовательский инструмент, позволяющий изучать разнообразные химические превращения. Необходимо лишь научиться им управлять.


 
 

Работа выполнена при поддержке Российского фонда фундаментальных исследований. Проект 99-03-33270а.
 

Литература

1. Shubina E.S., Belkova N.V., Epstein L.M. // J. Organomet. Chem. 1997. V.536-537. P.17-29.

2. Shubina E. S., Belkova N. V., Krylov A. N. et al. // J. Am. Chem. Soc. 1996. V.118. P.1105-1112.

3. Bakhmutov V.I., Bakhmutova E.V., Belkova N.V. et al. // Can. J. Chem. 2001. V.79. P.479-489.

4. Шубина Е.С., Белкова Н.В., Сайткулова Л.Н. и др. // Известия РАН. Сер. химическая. 1998. Т.5. С.846-852.

5. Epstein L.M., Belkova N.V., Shubina E.S. Dihydrogen bonded complexes and proton transfer to hydride ligand by spectral (IR, NMR) studies // Recent advances in Hydride Chemistry. Amsterdam, 2001. P.391-418.

6. Belkova N.V., Shubina E.S., Epstein L.M. et al. // J. Organomet. Chem. 2000. V.610. P.58-70.

7. Belkova N.V., Bakhmutova E.V., Shubina E.S. et al. // Eur. J. Inorg. Chem. 2001. P.2163-2165.

8. Albinati A., Bakhmutov V.I., Belkova N.V. et al. // Eur. J. Inorg. Chem. 2002. P.1530-1539.
 




Май 2003