№1, 2006 г.


Лауреаты Нобелевской премии 2005 года по химии -
И. Шовен, Р. Граббс и Р. Шрок

Научное сообщество уже давно смирилось с тем, что Нобелевский комитет весьма “нетороплив” и отмечает выдающиеся работы спустя 20, 30, иногда даже 40 лет после того, как исследования были выполнены. Хотя сам факт присуждения Нобелевской премии почти всегда оказывается полной неожиданностью для лауреатов, нынешнюю премию можно назвать долгожданной, но лишь с точки зрения химиков-органиков. После присуждения в 1994 г. Нобелевской премии Дж.Ола за развитие химии карбокатионов органический синтез находился в тени более ярких успехов биохимии, буквально захватившей монополию на Нобелевские премии. За этот период вклиниться в почетный список удалось лишь новому соединению фуллерену, проводящим полимерам и фемтосекундной спектроскопии, но органический синтез в течение последних 11 лет такого признания не получал.

И вот, наконец, присуждена Нобелевская премия “за открытие и разработку реакции метатезиса в органическом синтезе”. Лауреатами стали француз Ив Шовен и американцы Роберт Граббс и Ричард Шрок.
 

И. Шовен

Р. Граббс

Р. Шрок

Ив Шовен (Yves Chauvin) родился 10 октября 1930 г., все его научное творчество связано с Французским институтом нефти, расположенным в г.Рей-Мальмезон. С 1960 г. Шовен работал в этом институте вначале в должности инженера, затем - заведующего сектором, позже руководил работой лаборатории молекулярного катализа, в 1991 г. стал директором по научной работе. Сейчас, будучи пенсионером, он сохранил пост почетного директора.

Роберт Граббс (Robert H.Grubbs) родился в 1942 г. в Кальверт-сити (штат Кентукки). В 1965 г. окончил Университет Флориды, в 1968 г. защитил диссертацию в Колумбийском университете, год стажировался в Станфордском университете. С 1978 г. работает в Калифорнийском технологическом институте (г.Пасадена), в настоящее время - в должности профессора. Член Национальной академии наук США с 1989 г.

Ричард Шрок (Richard R. Schrock) родился в 1945 г. в г.Берне (штат Индиана). В 1967 г. получил степень бакалавра в Калифорнийском университете, а докторскую диссертацию защитил в 1971 г. в Гарвардском университете. С 1975 г. занимается исследованиями в Массачусетсском технологическом институте, с 1980 г. - в звании профессора. Член Национальной академии наук США.

Общая схема реакции метатезиса (по-русски - реакции обмена) проста и наглядна: при взаимодействии двух молекул олефинов (углеводородов с двойными связями) между ними происходит обмен обрамляющими органическими группами (иногда этот процесс называют диспропорционированием):

Такую реакцию наблюдали в 1950-х годах при проведении некоторых промышленных процессов. Широко известный пример - превращение пропилена в этилен и бутен в присутствии оксида либо карбонила молибдена, нанесенного на оксид алюминия:
Начиная с 1960-х годов многие химики пытались объяснить этот процесс образованием различных циклических переходных комплексов. Впервые истинный механизм метатезиса предложил Шовен (совместно с Ж.-Л.Эриссоном) в 1971 г. Ключевая роль, по мнению Шовена, принадлежит образующемуся в реакционной системе металлокарбену, в котором атом металла соединен двойной связью с углеродом. Со слов Шовена, к этой мысли его привели три независимые работы. Первой была статья Э.Фишера о новом типе связи углерод-металл, найденной в (метилметокси-карбен)пентакарбонилвольфраме –(CO)5W=C(CH3)(OCH3). Вторая работа - публикация Дж.Натты, описывающая размыкание циклопентена при полимеризации в присутствии триэтилалюминия и гексахлорида вольфрама. Третий факт, принятый Шовеном во внимание, - опубликованные результаты промышленного процесса, при котором пропилен диспропорционирует, образуя этилен и бутен (см. приведенную схему).

Сопоставив эти факты, Шовен пришел к выводу, что полимеризация циклопентена и диспропорционирование пропилена представляют собой по существу один и тот же процесс, а катализирует его карбен. Механизм, предложенный Шовеном, включает стадию образования четырехчленного переходного комплекса олефина с металлокарбеновым катализатором. При распаде комплекса катализатор приобретает иную органическую группу, которую на следующей стадии передает другой молекуле олефина:

Шовену удалось подтвердить предложенный им механизм, проведя перегруппировку бутена в присутствии каталитической системы - смеси WC16 и MeLi (или Me4Sn). Она должна была в реакционной среде целенаправленно образовывать металлокарбен. Результаты опыта указывали, что предположение оказалось правильным, однако вплоть до 1975 г. схема Шовена не пользовалась успехом у химиков, за четыре года ее процитировали лишь в двух работах. Впоследствии этому механизму в научной литературе присвоили имя Шовена.

Работа Шовена указала направление дальнейших исследований: необходимо было вводить в реакционную систему заранее полученный металлокарбен, что весьма успешно проделали Шрок и Граббс.

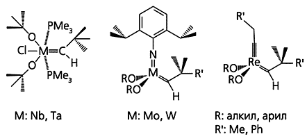
Шрок стал искать эффективные катализаторы метатезиса, начав с карбеновых комплексов тантала и ниобия. Он придавал большое значение тому, чтобы металл в комплексе находился в высшей степени окисления (в отличие от упомянутого карбена Фишера). Он даже предложил для таких соединений специальный термин - металлалкилидены. В 1980 г. он получил очень эффективные комплексы Ta и Nb, а затем перешел к алкилиденам вольфрама, молибдена и рения (объемистые обрамляющие группы Шрок вводил, чтобы предупредить распад алкилиденов по бимолекулярному механизму).

Катализаторы, полученные Шроком.

Все эти катализаторы необычайно активны: например, одна молекула Мо-содержащего соединения, в котором R = CMe(CF3)2, в течение одной минуты катализирует превращение более тысячи молекул олефина. У катализаторов есть и дополнительное преимущество - их реакционную способность можно тонко регулировать, меняя природу групп R. В том случае, когда R - это трет-бутил, катализатор позволяет осуществить весьма изящный вариант метатезиса - размыкание олефинового цикла с одновременной его полимеризацией:

По существу это новый тип полимеризационного процесса, который ранее нельзя было осуществить иным способом. Для такой реакции используют обычно напряженные циклы, поэтому вторая стадия необратима. К тому же получаемые полимеры практически монодисперсны, т.е. имеют почти одинаковую длину цепи. Примечательно, что фрагменты катализатора, остающиеся на концах полимерной цепи, сохраняют “жизнеспособность”. К полученному таким способом полимеру можно добавить иной мономер, затем третий и “построить” в результате ди- и триблочные полимеры с четким положением блоков:
К недостаткам катализаторов Шрока можно отнести их чувствительность к окислению и влаге. Этот недочет удалось устранить Граббсу. Его рутениевые катализаторы по активности уступают катализаторам Шрока, но зато некоторые из них могут работать в водных средах, что делает их особо привлекательными для промышленной химии. Наиболее известен карбенрутениевый фосфиновый комплекс, которому компания “Fluka”, производящая химические реактивы, в 1998 г. присудила почетное звание “реагент года”:

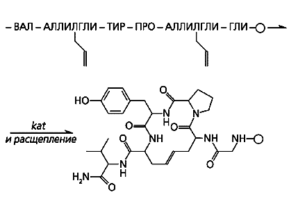
Метатезис открыл широчайшие возможности в органическом синтезе, некоторые из проведенных реакций осуществить каким-либо иным способом просто невозможно. Вот три примера таких синтезов:

превращение диенов в циклические олефины

модификация аминокислот

введение углерод-углеродных поперечных связей в пептиды
В настоящее время метатезис представляет собой крупную главу в органической химии. Большинство таких реакций проходит в одну стадию и без образования побочных продуктов, что позволяет создавать на их основе экологически безопасные производства. Метатезис открыл возможность синтеза новых лекарственных препаратов, пестицидов, органических реактивов и полимеров со специфическими свойствами.

Нобелевская премия за открытие одной реакции - случай редкий. Наиболее близкая аналогия - премия, полученная в 1950 г. О.Дильсом и К.Альдером за диеновый синтез. Обе эти реакции вполне достойны высокой награды, поскольку каждая из них раскрыла новые широкие возможности органического синтеза. В центре интересов Шовена постоянно находились процессы нефтехимического синтеза, а его работы всегда были ориентированы на решение прикладных задач. Граббс продолжает исследовать возможности стереоселективного синтеза на основе разработанных катализаторов. Шрок считает, что, хотя в наши дни фундаментальные исследования не приветствуются, именно они приводят в конечном итоге к важным промышленным разработкам.

© Левицкий М.М., кандидат химических наук
Институт элементоорганической химии им.А.Н.Несмеянова РАН

 




Декабрь 2005